1.5 Деформация растяжения и сжатия
Этот вид деформации показан на рис.1.5.
Δl = l1- l – абсолютная продольная деформация.
Δd = d – d1 – абсолютная поперечная деформация.
ε = Δl/l – относительная продольная деформация.
ε1 = Δd/d – относительная поперечная деформация.Очевидно, что эти две деформации взаимосвязаны. Первым эту связь установил Пуассон.
Рис. 1.5
μ = ε1/ ε = 0,25…0,33 ≈ const.
При растяжении или сжатии внутри стержня возникают только нормальные силы, а значит только нормальные напряжения. Поэтому можем записать условие прочности. σ = Ν/Α ≤ [σ] - условие прочности при растяжении (сжатии) (1.2) Между напряжением и относительной продольной деформацией существует зависимость, которую первым установил Гук. σ = Е*ε (1.3)
- напряжение пропорционально относительной продольной деформации. Здесь Е – модуль упругости первого рода или просто модуль упругости. Он характеризует жесткость материала, то есть его способность сопротивляться деформированию. Для стали Е = 2*105 МПа.
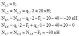
Построение эпюр продольных сил Nz
Продольная сила в сечении численно равна алгебраической сумме проекций всех сил, приложенных по одну сторону от рассматриваемого сечения, на продольную ось стержня. Правило знаков для Nz: условимся считать продольную силу в сечении положительной, если внешняя нагрузка, приложенная к рассматриваемой отсеченной части стержня, вызывает растяжение и отрицательной - в противном случае.1. Намечаем характерные сечения, нумеруя их от свободного конца стержня к заделке.2. Определяем продольную силу Nz в каждом характерном сечении. При этом рассматриваем всегда ту отсеченную часть, в которую не попадает жесткая заделка.
По найденным значениям строим эпюру Nz. Положительные значения откладываются (в выбранном масштабе) над осью эпюры, отрицательные - под осью.







