Абсолютно упругий удар _
Столкновение двух тел, в результате которого в обоих взаимодействующих телах не остается никаких деформаций и вся кинетическая энергия, которой обладали тела до удара, после удара снова превращается в кинетическую энергию.
Следует отметить, что это идеализация.
Исходные данные _
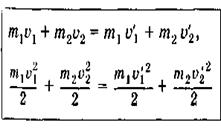
Сталкиваются шары массами т1 и т2; скорости шаров до удара — v1 и v2, после удара — v{ и v'2. В случае прямого центрального удара векторы скоростей шаров до и после удара лежат на прямой линии, соединяющей их центры. Проекции векторов скорости на эту линию равны модулям скоростей. Их направления учитываются знаками: положительное значение приписывается движению вправо, отрицательное — движению влево. Выполняются законы сохранения импульса и энергии.
Законы сохранения импульса и механической энергии ______

Эти законы записаны при сделанных выше допущениях.

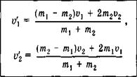
Скорости тел после абсолютно упругого удара
После преобразования законов сохранения
;(*)
; (**)
.
Решая (*) и (**), получим записанные выражения.






