|
Шары с одинаковыми массами
и\ = v2;
V2 = Uj.
Шары равной массы «обмениваются» энергией. окоится
г..

Если второй шар до удара висел неподвижно (v2 = 0), то после удара остановится первый шар (v\ = 0), а второй будет двигаться с той же скоростью и в том же направлении, в котором двигался первый шар до удара (v'2 = i^).
Первый шар продолжает двигаться в том же направлении, как и до удара, но с меньшей скоростью (v\ < i>j). Скорость второго шара после удара больше, чем скорость первого после удара (V2 > v\).
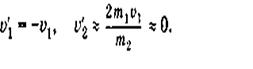
Направление движения первого шара при ударе изменяется — шар отскакивает обратно. Второй шар движется в ту же сторону, в которую двигался первый шар до удара, но с меньшей скоростью,
т. е. и о < v
Пример: столкновение шара со стеной:
Центральный абсолютно неупругий удар
Абсолютно неупругий удар ___________
Столкновение двух тел, в результате которого тела объединяются, двигаясь дальше как единое целое.
Пример: шары из пластилина, движущиеся навстречу друг другу.
Исходные данные ___
|
|
|
Сталкиваются шары массами m1, и m2; скорости шаров до удара —
и
;
— общая скорость шаров после удара.






