Шары будут продолжать двигаться вместе в ту сторону, в которую двигался шар, обладающий большим импульсом.
О законе сохранения механической энергии _
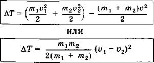
В процессе центрального абсолютно неупругого удара шаров между ними действуют силы, зависящие не от самих деформаций, а от их скоростей, поэтому эти силы подобны силам трения и закон сохранения механической энергии не соблюдается. Вследствие деформации происходит «потеря» кинетической энергии, перешедшей в тепловую или другие формы энергии.
Разность кинетических энергий тел до и после абсолютно неупругого удара_ 
Учли выражение для V.
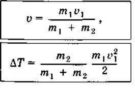
Случай V 2 = 0 (ударяемое тело первоначально неподвижно)
Если т2 >> т1 (масса неподвижного тела очень большая), то V << V1 и почти вся кинетическая энергия при ударе переходит в другие виды энергии. Поэтому для получения значительной деформации наковальня должна быть массивнее молота.






