Производственная мощность предприятия: сущность, виды, методика расчета и определяющие факторы

Производственная мощность (ПМ) – это максимально-возможный выпуск продукции в номенклатуре и ассортименте соответствующего качества при полном использовании производственного оборудования, рациональной организации производства и труда.

Расчет ПМ завода ведется по всем его подразделениям в следующий последовательности: от низшего звена к высшему, т. е. от мощности групп технологически однородного оборудования к мощности участка, от мощности участка – к мощности цеха, от мощности цеха – к мощности предприятия.

ПМ определяется по мощности ведущих цехов, участков, агрегатов. К ведущим относятся цехи, участки, агрегаты, в которых выполняются основные наиболее трудоемкие технологические процессы и операции по изготовлению изделий или полуфабрикатов.

В расчет производственной мощности предприятия включается все оборудование, закрепленное за основными производственными цехами.

Производственная мощность изменяется в течение года, поэтому различают входную, выходную и среднегодовую мощность.

1) входная мощностьпроизводственная мощность на начало года, показывающая, какими производственными возможностями располагает предприятие в начале планового периода;

2) выходная мощность — производственная мощность на конец года. Она определяется путем суммирования входной и вводимой мощностей за вычетом выбывающей',

3) проектная мощность — производственная мощность, преду­смотренная проектом строительства, реконструкции и расширения предприятия;

Для определения соответствия производственной программы имеющейся мощности исчисляется среднегодовая производственная мощность, которой предприятие располагает в среднем за год. Она определяется путем прибавления к мощности на начало года средне­годового ввода мощности и вычитания среднегодового ее выбытия:

М СР.Г. = МН + (МВ + N1) / 12 – (МЛ + N2) / 12

МСР. Г — среднегодовая мощность предприятия, шт.;

Мн — мощность на начало года (входная);

Мв — ввод мощности в течение года;

Мл — ликвидация (выбытие) мощностей в течение года;

N1 — количество полных месяцев с момента ввода мощностей в действие до конца года;

N2 — количество полных месяцев с момента выбытия мощностей до конца года.

ПМ рассчитывается на основе: • номенклатуры, структуры и количества выпускаемой продукции; • количества единиц наличного оборудования, находящегося в распоряжении предприятия; • действительного фонда времени работы оборудования; • трудоемкости выпускаемой продукции и ее планируемого снижения; • передовых технически обоснованных норм производительности оборудования; • отчетных данных о выполнении норм выработки.

Принципы расчета ПМ: • величина ПМ динамична, поэтому ее расчет производится ежегодно; • за расчетный период принимается год; • измеряется мощность в тех натуральных единицах, в которых измеряется производственная программа; • учитывается плановый ассортимент продукции и установленный режим работы предприятия; • ПМ определяется в следующей последовательности: по агрегатам и группам ведущего технологического оборудования; по ведущим производственным участкам; по основным ведущим цехам и предприятию в целом (к ведущим относятся цехи, участки, агрегаты, в которых выполняются основные наиболее трудоемкие технологические процессы и операции по изготовлению изделий или полуфабрикатов); • в расчет включается все наличное ведущее оборудование основного производства, в т.ч. бездействующее, за исключением резервного и оборудования опытно-экспериментальных и специализированных участков для профессионально-технического обучения.

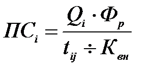
ПМ определяется по пропускной способности оборудования на предприятии по формуле: , где ПСiпропускная способность i-й группы оборудования; Qi – число единиц оборудования; Фр – годовой действительный фонд времени работы оборудования; tij суммарная трудоемкость обработки изделия на оборудовании; Кв.н. коэффициент выполнения норм.





Подборка статей по вашей теме: