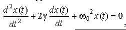
Затуханием колебаний называется постепенное ослабление колебаний с течением времени, обусловленное потерей энергии колебательной системой. Закон затухания колебаний зависит от свойств колебательной системы. Система называется линейной, если параметры, характеризующие существенные в рассматриваемом процессе физические свойства системы, не изменяются в ходе процесса. Свободные затухающие колебания линейной системы описываются уравнением: 
Где буква гамма – коэффициент затухания. W0 - собственная частота системы, т.е. частота, с которой совершались бы колебания в отсутствии затухания. Выражение коэффициента затухания через параметры системы зависит от вида колебательной системы.

Промежуток времени τ = 1/σ, в течение которого амплитуда затухающих колебаний становится меньше в k раз, называется временем релаксации.
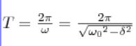
Затухание не дает колебаниям быть периодичными и, строго говоря, к ним нельзя применять понятие периода или частоты. Но если затухание мало, то можно условно использовать понятие периода как промежутка времени между двумя последующими максимумами (или минимумами) колеблющейся физической величины (вон тот рисунок сверху). В этом случае период затухающих колебаний с учетом выражения будет равен:
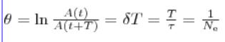
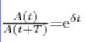
Если A(t) и А(t + Т) — амплитуды двух последовательных колебаний, соответствующих моментам времени, которые отличаются на период, то отношение:
называется декрементом затухания,
а его логарифм

— логарифмическим декрементом затухания.
Для характеристики колебательной системы также применяют понятие добротности Q, которая при малых значениях логарифмического декремента будет равна:

добротность пропорциональна числу колебаний Ne.






