Колебаниями называются движения или процессы, которые характеризуются определенной повторяемостью во времени. Колебания могут быть различными по физической природе (механическими, электромагнитными, гравитационными), но описываются они одинаковыми по структуре уравнениями.
Простейшим типом колебаний являются гармонические колебания, при которых колеблющаяся величина изменяется по гармоническому закону, т. е. по закону синуса или косинуса.
Колебания бывают свободными и вынужденными. Свободные колебания разделяют на незатухающие (собственные) и затухающие.
Свободные незатухающие, или собственные, колебания – это такие колебания, которые совершаются за счет энергии, сообщенной колебательной системе в начальный момент времени, при отсутствии дальнейшего внешнего воздействия на систему.
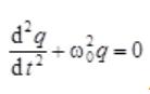
Дифференциальное уравнение собственных электрических гармонических колебаний LC контура:
q - электрический заряд конденсатора.
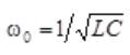
W0 - циклическая (круговая) частота свободных незатухающих колебаний.
(здесь L – индуктивность контура; C – электрическая емкость контура).
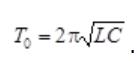
Период свободных незатухающих колебаний в электромагнитном колебательном контуре определяется формулой Томсона^
