В практике встречаются случаи, когда члены потока платежей изменяются в течение срока ренты. Изменения могут быть связаны с какими-либо обстоятельствами объективного порядка, а иногда и случайными факторами.
Поток последовательных платежей, члены которого не являются постоянными величинами, называется переменной рентой. Изменение величины платежей может быть описано каким-либо законом или носить нерегулярный характер. При этом определяются параметры следующих видов рент:
а) ренты с разовыми изменениями платежей:
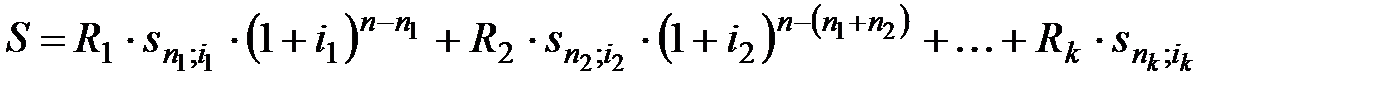
Наращенная сумма годовой ренты
, (5.1)
где
– коэффициент наращения годовой ренты.
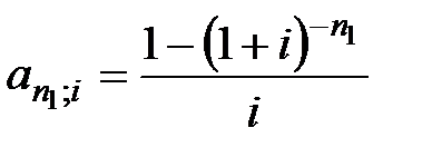
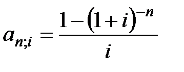
Современная величина годовой ренты
, (5.2)
где
– коэффициент приведения годовой ренты;
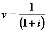
– дисконтный множитель по ставке i;
n – срок ренты, n = n1 + n2 +…+ nк;
n1, n2, …, nк – продолжительность временных отрезков;
R1, R2, …, Rк - годовой платеж в соответствующем временном отрезке;
i1, i2, …, iк – процентные ставки.
Если платежи вносятся несколько раз в году, то коэффициенты наращения (
) или приведения (
) рассчитываются как для p -срочной ренты.
|
|
|
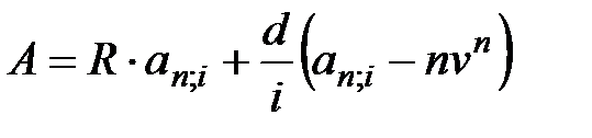
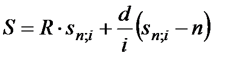
б) ренты с постоянным абсолютным изменением ее членов:
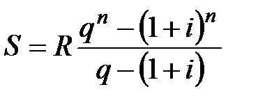
Наращенная сумма переменной ренты с постоянным абсолютным изменением ее членов составит:
, (5.3)
где d – разность арифметической прогрессии (величина абсолютного годового изменения членов ренты с соответствующим знаком),
R – первый член ренты.
Современная величина данной ренты составит:
. (5.4)
Зная значение постоянного прироста d, процентной ставки i, наращенной суммы S или текущей суммы долга A, определяется размер первого платежа R:
; (5.5)
. (5.6)
Величина абсолютного прироста d определяется по формулам:
;
(5.7)
.
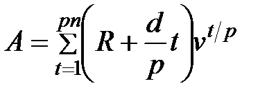
Для переменной p -срочной ренты с постоянным абсолютным приростом платежей наращенная сумма и современная стоимость определяются по формулам:
; (5.8)
. (5.9)
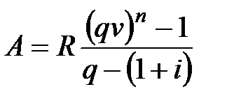
в) ренты с постоянным относительным приростом платежей:
Наращенная сумма и современная стоимость ренты составят:
а) при ежегодных платежах
; (5.10)
, (5.11)
где q – знаменатель прогрессии, т.е. коэффициент роста;
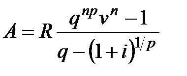
б) при p -срочной ренте
; (5.12)
. (5.13)
Расчеты по коммерческим сделкам могут предусматривать изменение условий оплаты, которое называется конверсией финансовых рент. Простейшими случаями конверсии являются выкуп ренты (замена ренты разовым платежом) и рассрочка платежа (замена разового платежа рентой).
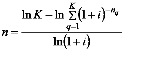
Замена нескольких рент одной, параметры которой надо определить,называется консолидацией рент. Современная величина вновь образованной консолидированной ренты должна быть равна сумме современных величин консолидируемых рент:
, (5.14)
где А – современная величина консолидированной ренты;
– современная величина q -ой заменяемой ренты, q =1, 2, …, K;
|
|
|
– число консолидируемых рент;
– член q -ой ренты;
и
– соответственно продолжительность и процентная ставка q -ой ренты.
Членконсолидированной немедленной ренты определяется по формуле:
, (5.15)
где
– коэффициент приведения консолидированной ренты.
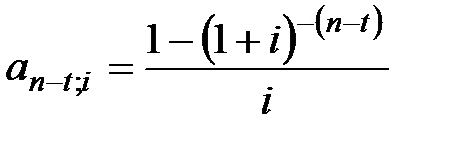
Членконсолидированной отсроченной ренты определяется по формуле:
, (5.16)
где
– коэффициент приведения отсроченной консолидированной ренты;
t – продолжительность отсрочки, лет;
– процентная ставка консолидированной ренты;
– дисконтный множитель за период t, на который отложена рента.
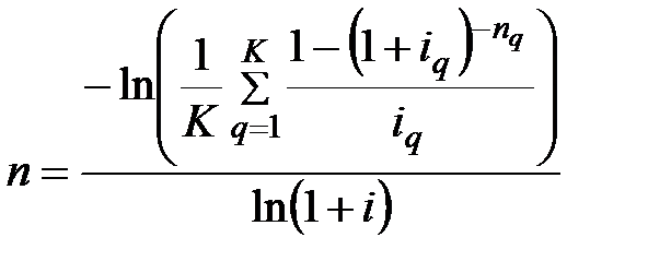
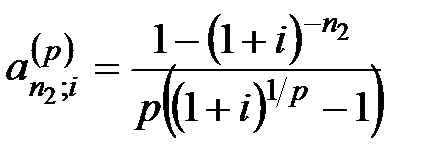
Срок консолидированной немедленной ренты определяется по формуле:
. (5.17)
Если процентные ставки объединяемых рент и вновь создаваемой равны между собой, т.е.
, то
. (5.18)
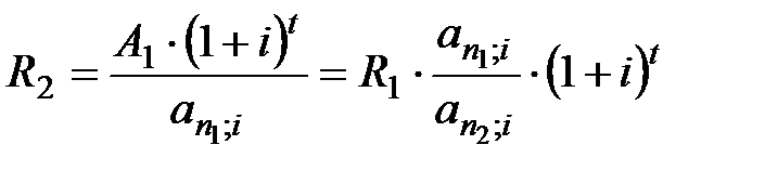
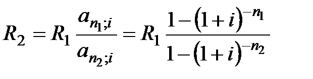
Замена немедленной ренты на отсроченную, т.е. когда первый платеж по ренте переносится на более поздний срок в t лет. При этом возможны следующие варианты конверсии:
1) общая продолжительность ренты остается прежней, т.е. n1 = n2 = n, рентный платеж составит:
, (5.19)
где
и
– годовые платежи соответственно первоначальной и отсроченной ренты;
– коэффициент приведения первоначальной годовой ренты;
t - продолжительность отсрочки;
2) общая продолжительность ренты изменяется, т.е.
, рентный платеж определяется по формуле:
, (5.20)
где
и
– коэффициенты приведения соответственно первоначальной и отложенной рент;
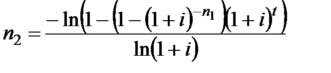
3) члены ренты остаются неизменными, т.е.
, тогда срок отложенной ренты составит:
.
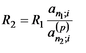
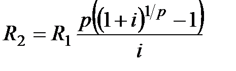
Замена годовой ренты на p-срочную. Годовая немедленная рента с параметрами
,
заменяется на p -срочную с параметрами
,
, p. Если заданы срок заменяющей ренты, ее периодичность и ставка, то
, (5.21)
где
– коэффициент приведения годовой ренты;
– коэффициент приведения p -срочной ренты.
Если
, то
. (5.22)
При изменении продолжительности ренты размер нового рентного платежа составит
. (5.23)
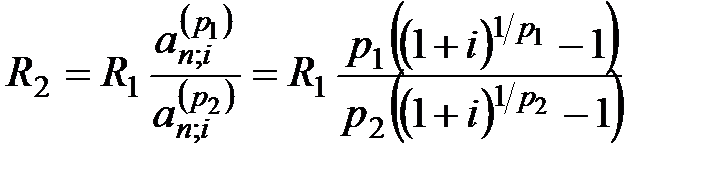
При изменении срочности ренты (числа выплат в году) годовой рентный платеж определяется по формуле:
, (5.24)
где
и
– характеристики срочности двух рент.
Пример 5.1 По условиям контракта платежи вносятся в конце года, первый платеж составляет 2 млн. руб., каждый год его величина возрастает на 200 тыс. руб., срок выплат 4 года, процентная ставка 8%. Определить наращенную сумму.
Решение. Параметры ренты:
руб.;
;
;
руб.;
.
руб.
Пример 5.2 Клиентом получен кредит сроком на 7 лет, при следующих условиях погашения: первый платеж 2 млн. руб., каждый следующий возрастает на 10%, платежи вносятся два раза в году, процентная ставка 8% годовых. Определить размер полученного кредита и сумму долга, подлежащую возврату.
Решение. Параметры ренты:
руб.;
;
;
;
.
Размер полученного кредита – это современная стоимость ренты.
руб.
руб.






