Финансовая рента или аннуитет – это однонаправленный денежный поток с равными временными интервалами.
Финансовая рента характеризуется следующими параметрами:
R – величинагодового платежа;
n – срок ренты, лет;
i или j – годовые сложные процентные ставки, используемые для наращения ренты или дисконтирования платежей;
m – частота начисления процентов в году;
p – число рентных платежей в году;
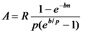
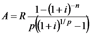
S – наращенная сумма ренты, т.е. сумма всех платежей с начисленными на них процентами на конец срока ренты;
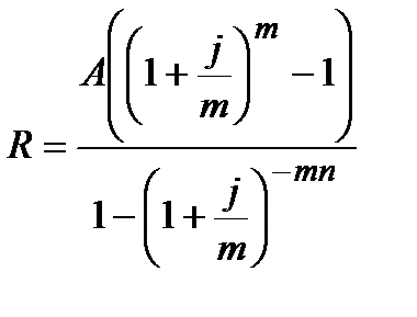
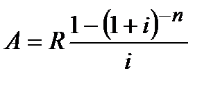
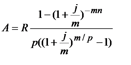
A – современная величина ренты (приведенная стоимость), т.е. сумма всех платежей, уменьшенная (дисконтированная) на величину процентной ставки на определенный момент времени (как правило, на начало ренты).
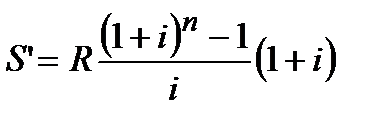
Таблица 4.1 – Определение наращенной суммы и современной стоимости
постоянной ренты постнумерандо
| Число платежей в году | Число начисления процентов в году | Наращенная сумма | Современная стоимость |
| p=1 | m=1 | (4.1) | (4.2) |
| m>1 | (4.3) | (4.4) | |
m | (4.5) | (4.6) | |
| Продолжение таблицы 4.1 | |||
| Число платежей в году | Число начисления процентов в году | Наращенная сумма | Современная стоимость |
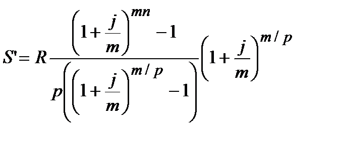
| p>1 | m=1 | (4.7) | (4.8) |
| m=p | (4.9) | (4.10) | |
| m¹p | (4.11) | (4.12) | |
m | (4.13) | (4.14) |
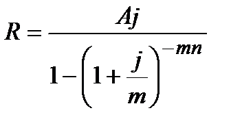
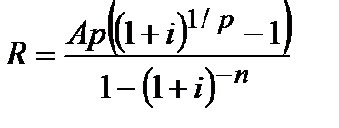
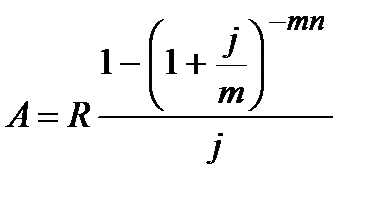
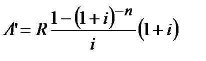
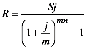
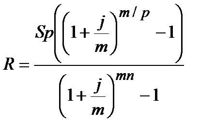
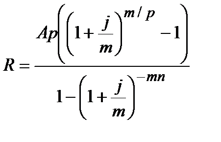
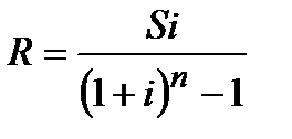
При разработке контрактов и условий финансовых операций могут возникнуть случаи, когда задается одна из двух обобщающих характеристик – S или A, а необходимо рассчитать значение недостающего параметра.
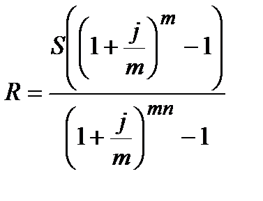
Таблица 4.2 – Расчет величины годового платежа постоянных рент
постнумерандо
| Число платежей в году | Частота начисления процентов в году | Исходные параметры | |
| S | A | ||
| p=1 | m=1 | (4.15) | (4.16) |
| m>1 | (4.17) | (4.18) | |
m | (4.19) | (4.20) | |
| Продолжение таблицы 4.2 | |||
| Число платежей в году | Частота начисления процентов в году | Исходные параметры | |
| S | A | ||
| p>1 | m=1 | (4.21) | (4.22) |
| m=p | (4.23) | (4.24) | |
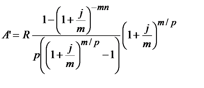
| m¹p | (4.25) | (4.26) | |
m | (4.27) | (4.28) |
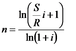
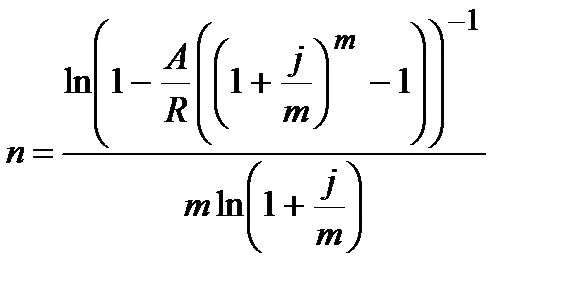
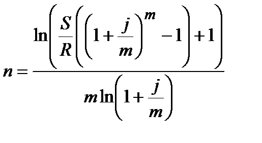
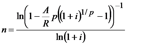
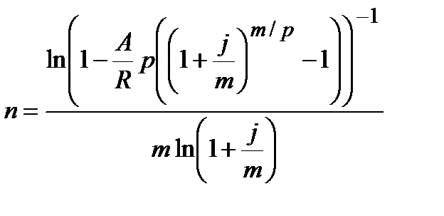
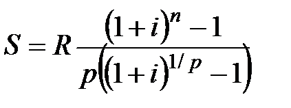
В случае согласования остальных параметров финансовой сделки срок ренты можно рассчитать с помощью величины наращенной суммы или современной стоимости ренты.
Таблица 4.3 – Расчет срока постоянных рент постнумерандо
| Число платежей в году | Число начислений процентов в году | Исходные параметры | |
| S | A | ||
| p=1 | m=1 | (4.29) | (4.30) |
| m>1 | (4.31) | (4.32) | |
m | (4.33) | (4.34) | |
| Число платежей в году | Число начислений процентов в году | Исходные параметры | |
| S | A | ||
| p>1 | m=1 | (4.35) | (4.36) |
| m=p | (4.37) | (4.38) | |
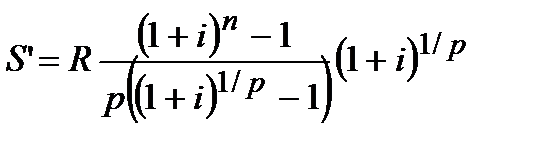
| m¹p | (4.39) | (4.40) | |
m | (4.41) | (4.42) |
При расчете срока ренты нужно принять во внимание следующее:
а) расчетные значения срока будут, как правило, дробные, тогда для годовой ренты в качестве n удобно принять ближайшее целое число лет;
б) в связи с округлением величины n до целого значения необходимо пересчитать величину годового рентного платежа R с тем, чтобы наращенная сумма (или современная стоимость) ренты осталась неизменной.
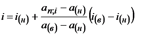
Величину процентной ставки ренты определяют обычно методом линейной интерполяции следующим образом:
а) при известных величинах наращенной суммы ренты S, годового платежа R и коэффициента наращения ренты 
, (4.43)
где
и
– нижнее и верхнее значения предполагаемой процентной ставки;
и
– нижнее и верхнее значения коэффициентов наращения
ренты для ставок
и
;
б) при известных величинах современной стоимости ренты A, годового платежа R и коэффициента приведения ренты 
, (4.44)
где
и
– значения коэффициентов приведения ренты для ставок
и
.
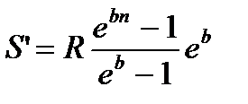
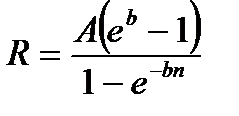
При расчетах рентных платежей в финансовой практике чаще всего используются сложные проценты. Однако существуют рентные платежи, в которых начисление производится по ставкам простых процентов, при этом наращенная сумма и современная стоимость ренты определяются по формулам:
; (4.45)
, (4.46)
где p – число рентных платежей в году.
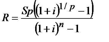
Таблица 4.4 – Определение наращенной суммы и современной стоимости
ренты пренумерандо
| Число платежей в году | Частота начислений процентов в году | Наращенная сумма | Современная стоимость |
| p=1 | m=1 | (4.47) | (4.48) |
| m>1 | (4.49) | (4.50) | |
m | (4.51) | (4.52) | |
| Число платежей в году | Частота начислений процентов в году | Наращенная сумма | Современная стоимость |
| p>1 | m=1 | (4.53) | (4.54) |
| m=p | (4.55) | (4.56) | |
| m¹p | (4.57) | (4.58) | |
m | (4.59) | (4.60) |
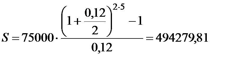
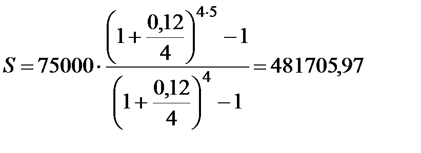
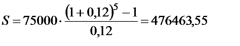
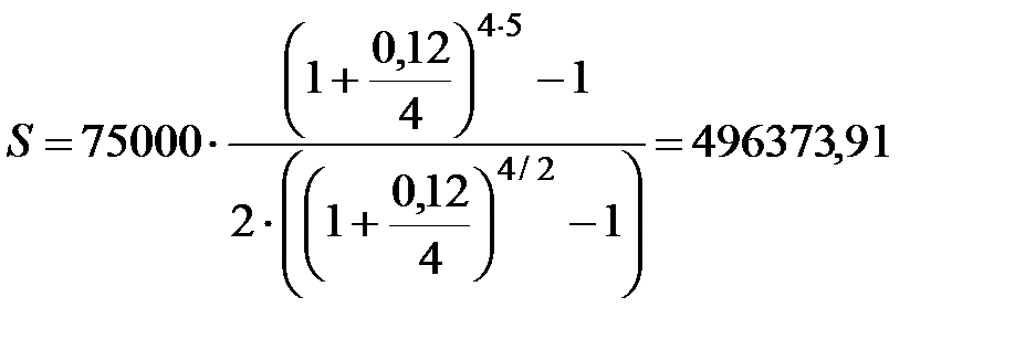
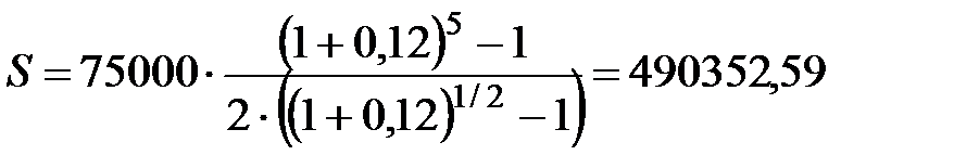
Пример 4.1 Фирма создает инвестиционный фонд. В течение 5 лет в фонд вносятся платежи в размере 75000 руб. в год под 12% годовых. Найти величину инвестиционного фонда через 5 лет, если: 1) платежи осуществляются один раз в году, проценты начисляются один раз в году; 2) платежи осуществляются один раз в году, проценты начисляются ежеквартально; 3) платежи осуществляются по полугодиям, проценты начисляются один раз в году; 4) платежи осуществляются по полугодиям, проценты начисляются по полугодиям; 5) платежи осуществляются по полугодиям, проценты начисляются ежеквартально.
Решение. По формулам (4.1), (4.3), (4.7), (4.9), (4.11) находим величину наращенной суммы ренты постнумерандо.
1) p=1, m=1,
руб.;
2)p=1, m=4,
руб.;
3) p=2, m=1,
руб.;
4) p=2, m=2,
руб.;
5) p=2, m=4,
руб.
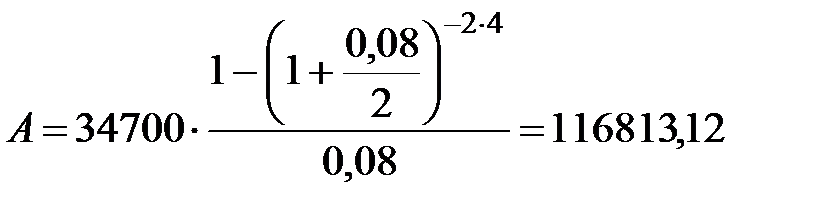
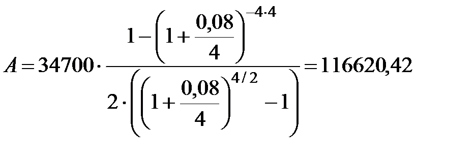
Пример 4.2 Фирма предусматривает создание в течение 4-х лет фонда развития и имеет возможность вносить ежегодно 34700 руб. под 8% годовых. Какая сумма потребовалась бы фирме изначально для создания фонда, если бы она поместила ее в банк на 4 года под 8% годовых, если: 1) платежи осуществляются один раз в году, проценты начисляются один раз в году; 2) платежи осуществляются один раз в году, проценты начисляются ежеквартально; 3) платежи осуществляются по полугодиям, проценты начисляются один раз в году; 4) платежи осуществляются по полугодиям, проценты начисляются по полугодиям; 5) платежи осуществляются по полугодиям, проценты начисляются ежеквартально.
Решение. Найдем современную величину ренты постнумерандо, используя формулы (4.2), (4.4), (4.8), (4.10), (4.12).
1) p=1, m=1,
руб.;
2)p=1, m=4,
руб.; 
3) p=2, m=1,
руб.;
4) p=2, m=2,
руб.;
5) p=2, m=4,
руб.
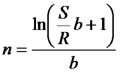
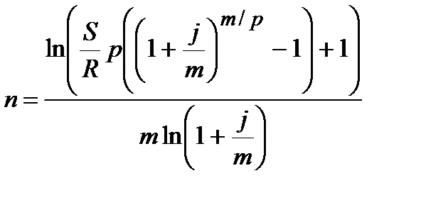
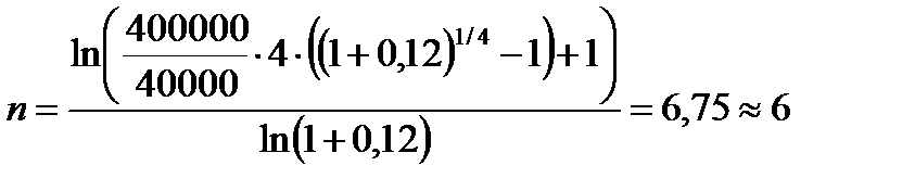
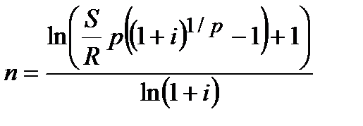
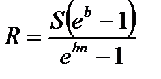
Пример 4.3 Какой срок необходим для накопления 400 тыс. руб., если ежеквартально будет вноситься 10 тыс. руб. под 12 % годовых при ежегодном начислении процентов?
Решение. Так как величина наращенной суммы S=400 тыс. руб., число начислений процентов в году m = 1, рентные платежи вносятся ежеквартально (p=4), а R-величина годового взноса составляет
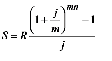
=40 000 руб. то по формуле (4.35)
лет.
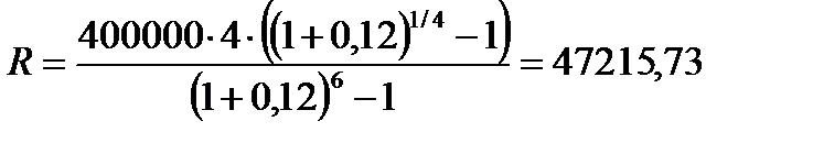
Вследствие округления срока ренты необходимо пересчитать величину годового взноса по формуле (4.21)
руб.,
.
Таким образом, ежеквартально необходимо вносить 11803,93 руб.
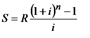
(4.1)
(4.2)
(4.3)
(4.4)
(4.5)
(4.6)
(4.7)
(4.8)
(4.9)
(4.10)
(4.11)
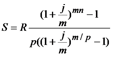
(4.12)
(4.13)
(4.14)
(4.15)
(4.16)
(4.17)
(4.18)
(4.19)
(4.20)
(4.21)
(4.22)
(4.23)
(4.24)
(4.25)
(4.26)
(4.27)
(4.28)
(4.29)
(4.30)
(4.31)
(4.32)
(4.33)
(4.34)
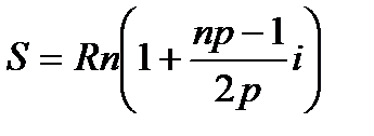
(4.35)
(4.36)
(4.37)
(4.38)
(4.39)
(4.40)
(4.41)
(4.42)
(4.47)
(4.48)
(4.49)
(4.50)
(4.51)
(4.52)
(4.53)
(4.54)
(4.55)
(4.56)
(4.57)
(4.58)
(4.59)
(4.60)