В банковской практике стран со стабильной экономикой и невысокой инфляцией (до 10% в год) среднесрочным считается кредит, выданный на срок от 2 до 5 лет, если срок кредита составляет 5 и более лет, то он является долгосрочным.
Стороны сделки выбирают удобные для них условия погашения долгосрочных кредитов в виде постоянных и переменных финансовых рент, а также нерегулярных потоков платежей. Затем, в соответствии с условиями контракта, составляется план погашения задолженности. Одним из важных элементов этого плана является определение числа срочных выплат и их величины.
Срочные выплаты – это денежные средства, предназначенные для погашения как основного долга, так и текущих процентных платежей. Величина срочных уплат зависит от суммы кредита, его срока, наличия и продолжительности льготного периода, размера процентной ставки и других условий.
Погашение долга в рассрочку
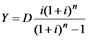
а) Погашение займа производится равными срочными выплатами, когда каждая срочная выплата Y является суммой двух величин: годового расхода по погашению основного долга R и процентного платежа по займу I, т.е.
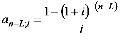
.
|
|
|
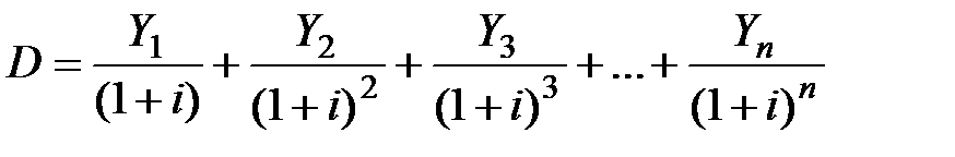
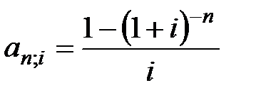
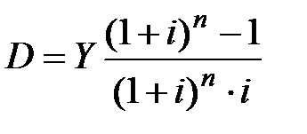
Величина долгосрочного кредита D равна сумме всех дисконтированных платежей, т.е. является современной величиной всех срочных выплат:

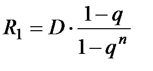
Если все срочные выплаты по кредиту равны между собой, т.е.
с одинаковой процентной ставкой, то величина кредита составит:
, (6.1)
а величина срочной выплаты определяется по формуле:
. (6.2)
Зная первую процентную выплату
и величину срочной выплаты Y, можно определить сумму первого погашения основного долга
. Это, в свою очередь, дает остаток долга на второй расчетный период
, который является базой для начисления процентов в следующем году
, что позволит определить величину платежа основного долга во втором году
и т.д.
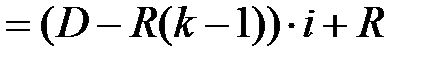
Выплата основного долга
в k -ом периоде времени
, (6.3)
где
- порядковый номер расчетного периода времени.
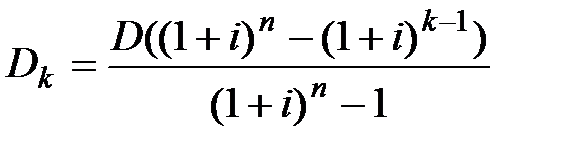
Остаток основной суммы задолженности в k -ом периоде
. (6.4)
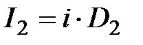
Сумма начисленных процентов в k -ом периоде времени
. (6.5)
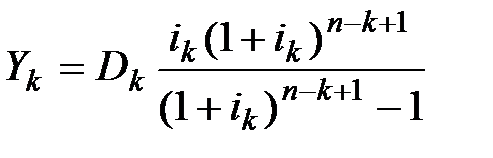
Если процентная ставка по займу изменяется во времени, то величина годовой срочной выплаты определяется по формуле:
. (6.6)
б) Погашение займа производится равными выплатами основного долга, то в этом случае размеры платежей по основному долгу будут равными
, (6.7)
а остаток основного долга в начале k -го расчетного периода определится как
, (6.8)
где D – величина всего долга.
Величина срочной выплаты в k -ом расчетном периоде равна:
. (6.9)
Величина процентного платежа для k -го расчетного периода находится по формуле:
. (6.10)
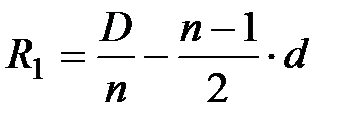
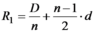
в) Погашение займа производится переменными выплатами основного долга, а выплаты изменяются в арифметической прогрессии, то есть контрактом предусмотрено погашение основного долга осуществлять платежами, возрастающими или убывающими в арифметической прогрессии с разностью d, тогда выплаты основного долга в k -ом периоде составляют
|
|
|
. (6.11)
Для возрастающей арифметической прогрессии величина первого платежа по погашению основной суммы долга по займу составит:
, (6.12)
а для убывающей арифметической прогрессии
. (6.13)
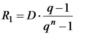
Если выплаты изменяются в геометрической прогрессии, то погашение основного долга производится платежами, каждый из которых больше или меньше предыдущего в q раз. Эти платежи являются членами возрастающей или убывающей геометрической прогрессии, где q – знаменатель прогрессии.
, при
; (6.14)
; при
. (6.15)
Конверсия займов
Конверсией называется изменение условий займов, когда могут меняться сроки их погашения, процентные ставки и т.п.
Обозначим параметры займов:
n – первоначальный срок погашения займов до конверсии;
– срок, на который продлен период погашения в результате конверсии;
k – число оплаченных расчетных периодов до конверсии;
– процентная ставка до конверсии;
i1 – процентная ставка после конверсии;
– величина срочной выплаты до конверсии;
– величина срочной выплаты после конверсии;
– величина основного долга;
– остаток долга на момент конверсии.
Для составления плана погашения конверсионного займа определяют:
а) величину срочной выплаты по старым условиям:
; (6.16)
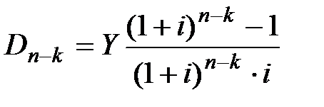
б) остаток долга на момент конверсии:
; (6.17)
в) величину срочной выплаты по новым условиям:
. (6.18)
Льготные кредиты
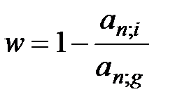
При льготном долгосрочном кредитовании заемщик фактически получает субсидию, а кредитор теряет определенную сумму в результате данной сделки. Эта добровольно упущенная выгода кредитора называется грант-элементом и может быть рассчитана в виде абсолютной или относительной величины.
Обозначим параметры льготных займов:
– сумма предоставленного кредита;
– срок кредита, лет;
– льготная процентная ставка, по которой предоставлен кредит;
– общепринятая процентная ставка (
);
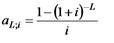
– коэффициент приведения ренты по ставке
;
– коэффициент приведения ренты по ставке
;
– коэффициент приведения ренты по ставке
со сроком
;
– продолжительность льготного периода погашения кредита, лет;
– коэффициент приведения ренты по ставке
со сроком
;
– коэффициент приведения ренты по ставке
со сроком
;
– дисконтный множитель по ставке
;
– относительный грант-элемент;
– абсолютный грант-элемент.
Для всех вариантов льготного кредитования абсолютный грант-элемент может быть рассчитан по формуле:
. (6.19)
Варианты льготного кредита:
а) кредит предоставляется по льготной ставке:
; (6.20)
б) кредит предоставляется по льготной ставке и имеет льготный период погашения, в течение которого выплачиваются только проценты:
; (6.21)
в) кредит предоставляется по льготной ставке и имеет льготный период погашения, в течение которого проценты не выплачиваются:
; (6.22)
г) беспроцентный кредит:
; (6.23)
д) беспроцентный кредит с наличием льготного периода погашения:
. (6.24)
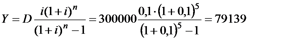
Пример 6.1. Банк выдал долгосрочный кредит в сумме 300 тыс. руб. на 5 лет под 10% годовых. Начисление процентов производится раз в году. Погашение кредита должно производиться: а) равными срочными выплатами; б) равными выплатами основного долга; в) выплаты основной суммы долга должны ежегодно возрастать на 10 тыс. руб.; г) выплаты основной суммы долга должны ежегодно возрастать на 5%. Составить план погашения займа для каждого варианта.
Решение. Параметры кредита: D = 300000 руб.; n = 5; i = 0,1; d = 10000 руб.;
q = 1,05.
а) Определяется величина срочной выплаты
руб.
Далее последовательно рассчитываются процентные платежи, годовой расход по погашению основной суммы долга, остаток долга за каждый год и составляется план погашения задолженности.
|
|
|
Таблица 6.1 - План погашения кредита, руб.
| Год | Остаток долга, D | Процентный платеж, I | Годовой расход по погашению основного долга, R | Годовая срочная выплата, Y |
| Итого | — |
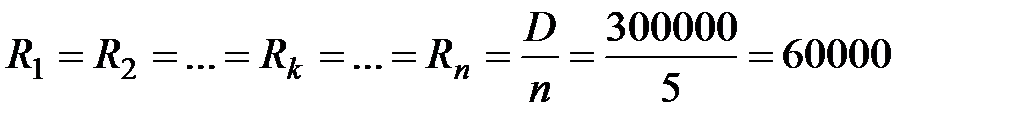
б) Определяем величину годового расхода по погашению основной суммы долга
руб.
Остальные параметры сделки определяются последовательно по годам и составляется план погашения кредита.
Таблица 6.2 - План погашения кредита, руб.
| Год | Остаток долга, D | Процентный платеж, I | Годовой расход по погашению основного долга, R | Годовая срочная выплата, Y |
| Итого | — |
в) Определяем величину первого платежа для возрастающей арифметической прогрессии, а затем составляем план погашения.
руб.
Таблица 6.3 - План погашения кредита, руб.
| Год | Остаток долга, D | Процентный платеж, I | Годовой расход по погашению основного долга, R | Годовая срочная выплата, Y |
| Итого | — |
г) Определяем величину первого платежа для возрастающей геометрической прогрессии, а затем составляем план погашения.
руб.
Таблица 6.4 - План погашения кредита, руб.
| Год | Остаток долга, D | Процентный платеж, I | Годовой расход по погашению основного долга, R | Годовая срочная выплата, Y |
| Итого | — |
Пример 6.2 Льготный заем в сумме 500000 руб. выдан на 10 лет под 8% годовых. Обычная ставка для подобных займов составляет 14%. Погашение займа предусматривает льготный период 2 года, в течение которых будут выплачиваться только проценты. Определить абсолютную и относительную величину грант-элемента.
Решение. По условию задачи имеем:
=500000 руб.,
=10;
=14%;
|
|
|
= 0,08;
=2,
;
;
;
.
Определяем величину относительного грант-элемента:

или 24,11%.
Абсолютная величина грант-элемента, т.е. добровольно упущенной выгоды кредитора, составит:
руб.