Статистической называют гипотезу о виде неизвестного распределения либо о параметрах известных распределений20. Так, статистической будет гипотеза о том, что переменная в генеральной совокупности распределена по нормальному закону. Проверяемую гипотезу называют нулевой (основной) гипотезой и обозначают Я0. Наряду с нулевой рассматривается конкурирующая гипотеза Я, (альтернативная), которая ей противоречит.
Статистический критерий и проверка гипотез. Для проверки нулевой гипотезы (используется специально подобранная случайная величина, точное либо приближенное распределение которой известно и обычно сведено в таблицы. Эта величина называется статистическим критерием. Обозначим его пока К.
Для критерия К фиксируется так называемая критическая область, т. е. совокупность значений критерия, при. которых нулевую гипотезу отвергают. Точка Ккр называется критической, если она отделяет критическую область от области принятия гипотезы.
Различают правостороннюю, левостороннюю и двустороннюю критические области.
Принятие или отвержение гипотезы производится на основе соответствующего статистического критерия с определенной вероятностью. Считают, что нулевая гипотеза справедлива, если вероятность того, что критерий К примет значение, большее Ккр, т. е. попадет в критическую область, равна выбранному значению вероятности a т. е.

Принятая вероятность а называется уровнем значимости.
Практически принятие или отвержение нулевой гипотезы проводится следующим образом: выбирается соответствующий критерий (этот вопрос будет обсуждаться далее); вычисляется наблюдаемое значение критерия КИ, исходя из эмпирического распределения; выбирается уровень статистической значимости (обычно 0,05 или 0,01).
По таблице распределения критерия К для данного уровня значимости находят критическую точку Ккр. Если Кя > КК1>, нулевую гипотезу отвергают, если же КИ < Кку, то ее отвергать нет основания.
Делая такие выводы (т. е. принимая или отвергая гипотезу), можно совершить ошибки двух типов: отвергнуть гипотезу, когда она верна; принять ее, когда она неверна. Поэтому при принятии гипотезы было бы неверным считать, что она тем самым полностью доказана. Для большей уверенности необходимо ее проверять другими способами (например, увеличить объем выборки).
Отвергают гипотезу более категорично, чем принимают.
Примеры статистических гипотез: а) нормальное распределение имеет заданное среднее и дисперсию либо имеет заданное среднее (о дисперсии ничего не говорится); б) распределение нормальное либо два неизвестных распределения одинаковы.
В качестве критериев чаще всего используются случайные величины, распределенные нормально (Z — критерий), по закону «Фишера (F — критерий Фишера), по закону Стьюдента (t — критерий Стьюдента), по закону хи-квадрат (критерий c2) и т. д.
В качестве конкретного примера рассмотрим применение критерия хи-квадрат для проверки гипотезы о виде распределения изучаемого признака.
Критерий хи-квадрат. Популярность критерия хи-квадрат обусловлена главным образом тем, что применение его не требует предварительного знания закона распределения изучаемого признака. Кроме того, признак может принимать как непрерывные, так и дискретные значения, причем измеренные хотя бы на номинальном уровне.
Если закон распределения признака неизвестен, но есть основания предположить, что он имеет определенный вид А, то критерий X2 позволяет проверить гипотезу: исследуемая совокупность распределена по закону А. Для проверки такой гипотезы сравниваются эмпирические (наблюдаемые) и теоретические (вычисленные в предположении определенного распределения А) частоты. Выпишем эти частоты:

Как правило, эмпирические и теоретические частоты будут различаться. Возможно, что наблюдаемое различие случайно (статистически незначимо) и объясняется либо малым числом наблюдений, либо способом их группировки, либо иными причинами. Но возможно, что расхождение частот значимо и объясняется тем, что теоретические частоты вычислены исходя из неверной гипотезы о характере распределения значений рассматриваемых признаков, генеральной совокупности. Критерий c2 отвечает на вопрос, случайно или пет такое расхождение частот. Как любой критерий, c2 не доказывает справедливость гипотезы, а лишь с определенной вероятностью а устанавливает ее согласие или несогласие с данными
наблюдениями., Критерий c2 имеет вид

Критическая точка распределения c2 находится (см. табл. Б приложения} по заданному уровню значимости а и числу степеней свободы df. Число степеней свободы находят по формуле
df=k – l – r,
где k — число интервалов вариационного ряда; r— число параметров предполагаемого распределения, которые оценены по данным выборки (например, для нормального распределения оценивают два параметра: m и s2).
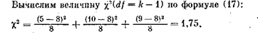
Рассмотрим пример, когда признак оценивался в терминах «очень низкий», «средний», «очень высокий» и был получен следующий ряд распределения для этих трех категорий:

Проверим гипотезу о том, что в генеральной совокупности значения этого признака распределены равномерно.
Теоретическое распределение для этих групп получим, если предположим, что эти категории независимы, т. е. респондент с одинаковой вероятностью может попасть в любую группу. Очевидно, ожидаемая (теоретическая) частота будет равна 24/3 = 8 человек.
Таким образом, имеем следующие эмпирические и теоретические частоты:

Проверяется гипотеза, что число респондентов во всех трех категориях одинаково, т. е. отличие распределения от равномерного статистически незначимо.

По таблице распределения c2, например, для уровня значимости 0,05 и степени свободы, равной df = 3 — 1 = 2, находим критическую точку c2 кр = 5,991. Таким образом, наблюдаемое значение c2 меньше c2 кр следовательно, данные наблюдений согласуются с нулевой гипотезой и не дают оснований ее отвергнуть.
Хи-квадрат критерий применим и для проверки нулевой гипотезы об отсутствии связей между признаками в случае, если эмпирические данные сгруппированы не по одному, как выше, а гкг нескольким признакам. Например, пусть имеется выборка в 190 человек, чье мнение относительно какого-то определенного вопроса исследовалось (табл. 5). Расчленим эту выборку на три независимых категории по возрасту. Рассмотрим следующие гипотезы: — не существует различия мнений относительно этого вопроса среди различных возрастных групп; Н—существует различие. Проверим гипотезу для уровня значимости а = 0,05.

Для нахождения ожидаемой (теоретической) частоты в любой клетке таблицы необходимо просто перемножить соответствующие маргинальные частоты и разделить произведение на итоговую сумму. Например, ожидаемая частота для клетки (а) равна


Для нашего примера df= (4 — 1)(3 — 1) = 6. По табл. Б приложения находим, что c2 кр = 16,812. Следовательно, нужно отвергнуть гипотезу о том, что нет различий в мнении среди неодинаковых возрастных групп, т. е. можно предположить, что существует значимая статистическая взаимосвязь между тем, к какой возрастной группе принадлежит респондент, и тем мнением, которое он высказывает. Однако величина c2 не говорит о силе связи между переменными, а лишь указывает на вероятность существования такой связи. Для Определения интенсивности связи необходимо использовать Соответствующие меры связи.
Для корректного применения методов, основанных на c2, исследователь должен обеспечить выполнение следующих условий. Выборку необходимо получить из независимых наблюдений. Данные могут быть измерены на любом уровне, но ни одна из ожидаемых частот не должна быть слишком мала (минимум 5). Если же частоты оказываются менее 5, то необходимо либо уменьшить степень дробности группировки признаков, объединив соседние категории, либо обратиться к другому критерию21.
