Соединение в многоступенчатой выборке различных приемов отбора (простого случайного, систематического или серийного) делает выборку комбинированной.
Как уже указывалось, большинство используемых в современных социологических исследованиях выборок являются комбинированными.
Одноступенчатая стратифицированная выборка. Комбинированная одноступенчатая выборка использовалась социологами ИСИ АН СССР при формировании выборочной совокупности для изучения индивидуальной производительности труда (индивидуальных норм выработки) рабочих сдельщиков.
Пример. На основе предварительного анализа пилотажного массива из шести возможных для формирования выборки признаков (возраст, образование, стаж по профессии и на данном заводе, заработная плата и квалификация) были выбраны два заработная плата и, стаж по профессии. Эти признаки обнаружили наибольшее влияние на изучаемый показатель — норму выработки8.
Генеральная совокупность была стратифицирована на 6 страт, различающихся уровнем заработной платы.
Отбор в стратах имел случайный характер — по распределению второго по «весу» признака (стаж по профессии).
Были известны следующие данные по генеральной совокупности.

где S2=m(1 — m), m-выборочная доля. Дисперсия качественного признака (выполнение нормы сдельщиками) при отсутствии информации была принята равной s2 = 0,5 • 0,5 =0,25. Доверительная вероятность 1 — a = 0,95; предельная ошибка репрезентативности D= 0,05.
В связи с тем что построение репрезентативной районированной выборки означает сохранение в выборке пропорции для групп генеральной совокупности, для определения размера групп выборочной
|
совокупности принимается следующий план9: ni/n=Ni/N, где N и n —
размеры соответственно генеральной совокупности и выборки; Ni и-
ni — размеры соответственно страт в генеральной и выборочной совокупностях. Рассчитывается численность каждой страты (представительство групп заработной платы) в выборке.
|
Пропорциональное построение выборки соответствовало следующим необходимым размерам групп:
Следующая стадия работы заключалась в расчете доли страт стажа. Для пропорционального построения выборки отбор по стажу следует согласовать с планом:
|
где Niq — численность каждой страты по стажу в отдельной страте-
по уровню зарплаты в генеральной совокупности, niq— соответственно для выборки.
Когда найдены эти доли для каждой страты по стажу, рассчитывается, сколько единиц наблюдения и с каким стажем должно
попасть из каждой такой страты в выборочную совокупность. На
пример, доля для стажа 1—2 года и заработной платы 60—80 руб.
равна 0,60, а для стажа 3—4 года в той же типической группе до
ля равна 0,40. Исходя из них, находим размер выборки для каждой
страты:

Аналогичный расчет производится по всем остальным стратам» В результате формируется план пропорциональной выборки в абсолютных числах и процентах (табл. 20).
По таблице случайных чисел выбираются случайные числа в соответствии о размером каждой группы, представленной в выборке (табл. 20). Предварительно картотека была стратифицирована по группам заработной платы и карточки пронумерованы. Из каждой группы выбирались карточки, соответствующие случайным числам. Если стаж на выбранной карточке должен был быть представлен в данной группы, карточка отбиралась в выборку. Если стаж не должен был быть представлен в данной группе, карточка возвращалась в генеральную совокупность.
Появление карточек, которые возвращались в массив, потребовало дополнительного выбора случайных чисел для каждой группы, пока не был обеспечен намеченный по плану размер. Как видно из
|
табл. 20, некоторые смещения оказались в группах с большим стажем. Но выборка репрезентативна по контролируемому признаку —
средней норме выработки: в генеральной совокупности — 109%,
в выборке — 108,9%. Рассчитаем по этой выборке оценку доли перевыполняющих план выработки в генеральной совокупности10 (табл. 21).
|
Чтобы использовать показатель доли по выборке как оценку соответствующего параметра в генеральной совокупности, необходимо рассчитать среднюю ошибку выборки.
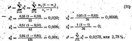
Расчет дисперсии доли в стратифицированной выборке производится по формуле:
|
Расчет средней выборки производится по формуле:
|
При доверительной вероятности 0,95 предельная ошибка выборки D= ZM = 1,96 *0,0084 = 0,016, или 1,6%.
Таким образом, с вероятностью 0,95 можно утверждать, что доля перевыполняющих план будет в интервале (81 ± 1,6) %.