и кривой LM
Криные /,$ и / М пересекаются
в точке £() Точка пересечения двух
этих кривых показывает, что если
установлены рассмотренные ранее
параметры (k — 5, A(l = 600, AAf =
= -20, т = 0,5, Ми = 500, ДЛ/, =
= —50), го общее экономическое
.равновесие, т е равновесие на рын-
1ке товаров и услуг и на денежном
>рынке, будет достигнуто только
втом случае, когда Q = 2000 и / =
'=!()%
1 стигнуто общее экономическое равновесие. Все другие точки отра-1>кают такое положение экономики, которое является нерав-[новесным. Например, точка Xt, расположенная на кривой /S, пока-Ьывает, что имеется равновесие на товарном рынке, но нет ^равновесия на денежном. Точка X, напротив, находится в положе-рнии, когда равновесие на денежном рынке достигнуто, но на товарном рынке утрачено. Точка же А', отражает такое состояние экономики, когда отсутствует равновесие на обоих рынках.
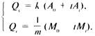
Комбинация кривой IS и кривой LM и стоящее за ней общее экономическое равновесие может быть представлено и в виде системы двух уравнений с двумя неизвестными — Q и / (равновесный уровень национального дохода и соответствующая ему процентная ставка). Система эта содержит шесть параметров, которые рассматриваются как заданные величины. Уравнения, которые образуют данную систему, были выведены в параграфах 12.4 и 12.5. Это уравнение (12.19), в котором устанавливалась функциональная зависимость Qe от / при заданных мультипликаторе (k), величине автономных затрат при нулевой процентной ставке (Ан) и процентном реагировании автономных затрат (А); и уравнение (12.26), в котором устанавливается функциональная зависимость Qe от / при заданном коэффициенте /и, величине спроса на деньги при нулевой процентной ставке (Л/0) и процентном реагировании денежного спроса (Л/).
|
|
|
12 6 Общее равновесие на товарном

(12.27)
Система (12.27) является математической моделью макроэкономического равновесия на рынке юваров и услуг и на денежном рынке. Она получила название модель IS-LM. На рис 12-10 дано, следовательно, графическое описание лои модели.
Модель IS-LM является своего рода теорежческим фундаментом, на основании которого строятся более конкретные и сложные модели общего экономического равновесия. Пользуясь этой моделью, экономисты могут предсказывать, как могут повлиять те или иные мероприятия правительства в области экономической политики на равновесие в экономике.
Например, если правительство примет решение увеличить государственные закупки товаров и услуг, то это будет означать увеличение общей суммы автономных затрат. Обратим внимание на то, что этот рост автономных затрат произойдет независимо от изменении процентной ставки или от изменении дохода, т. е. в 1-м уравнении системы (12.27) изменится величина параметра Аи — увеличится показатель совокупных автономных затрат при нулевой процентной ставке. Это приведет к тому, что график кривой /5 сдвинется направо, в результате чего равновесный уровень национального дохода (точка пересечения кривых /S и LM) переместится направо вверх. Следовательно, вследствие роста государственных автономных затрат, во-первых, произойдет повышение равновесного уровня национального дохода, а во-вторых, повысится и та процентная ставка, которая соответствует этому уровню. В этих условиях Центральный банк должен повысить процентную ставку. Чем обусловлено это повышение ставки? Дело в том, что рост национального дохода увеличит спрос на деныи. Поэтому для сохранения равновесия на денежном рынке необходимо удерживать спрос на деньги на прежнем уровне, нею можно достигнуть путем повышения процентной ставки.
|
|
|
Возможен и другой путь сохранения равновесия на денежном рынке при увеличении государственных расходов, а именно увеличение предложения денег. Этого можно достигнуть путем дополнительной эмиссии. Например, в рассмотренном нами примере при построении кривой LM предполагалось, что предложение дене!
Глава 12
.равно 500 (см. рис. 12-6). Если мы теперь допустим, что предложение денег увеличилось до 750, ю перпендикуляр, показывающий уровень предложения дене!, сдвинется вправо. Это приведет к тому, что и кривая LM также сдвинется вправо. Таким образом, равновесие спроса и предложения на денежном рынке может поддерживаться без повышения процентной ставки. Одновременный сдвиг кривых LM и IS вправо будет означать, что точка пересечения этих двух кривых сдвинется вправо, что отразит повышение равновесного уровня национального дохода. Эго говорит о том, что скоординированные действия правительства и Центрального банка позво-цят сохранить общее равновесие, т.е. равновесие и на товарном, Зи на денежном рынках
РЕЗЮМЕ
Равновесное состояние экономики означает в первую очередь равенство совокупного спроса на производимые в стране товары и услуги их совокупному предложению. Простейшим случаем такого равновесия является равенство общего потребления, которое представляет собой сумму автономною и индуцированного потребления, и произведенною национального дохода.
Уровень потребления находится в функциональной зависимости от величины дохода. Уровень национального дохода, при котором достигается равновесие в экономике, является единствен-Лым, если предположить, что совокупный спрос сводится только К планируемым потребительским расходам населения.
Составной частью совокупного спроса, наряду с потребительскими расходами, являются инвестиции. Инвестиции, размер которых не зависит от величины дохода, называются автономными. Введение автономных инвестиций повышает равновесный уровень национального дохода.
Государственные закупки товаров и услуг, так же как и инвестиции, носят автономный характер. Их прирост поэтому тоже повышает равновесный уровень национального дохода.
Общая сумма автономного потребления, автономных инвестиций и государственных закупок товаров и услуг образует автономные затраты. Отношение прироста равновесного уровня национального дохода к приросту автономных затрат называется
- __
мультипликатором. Величина мультипликатора определяется предельной склонностью к потреблению.
В условиях равновесия сумма автономных затрат должна равняться индуцированным сбережениям.
На величину автономных затрат существенное влияние оказывает процентная ставка. Повышение процентной ставки влечег за собой снижение автономных затрат. Поэтому равновесие на рынке товаров и услуг зависит не только от величины национальною дохода, но и от процентной ставки. График, который показывает обратную зависимость уровня национального дохода, обеспечивающего равновесие на товарном рынке, от изменении процентной ставки, называется кривой IS.
|
|
|
Изменения национального дохода влекут за собой пропорциональные изменения спроса на деньги. Кроме того, спрос на деньги изменяется в зависимости от изменении процентной ставки Поэтому равновесие на денежном рынке зависит как от величины национального дохода, так и от величины процентной ставки. График, который показывает обратную зависимость уровня национального дохода, обеспечивающего равновесие на денежном рынке, от изменений процентной ставки, называется кривой LM.
Точка пересечения кривых IS и LM показывает такое сочетание национального дохода и процентной ставки, при котором в экономике достигается равновесие спроса и предложения и на товарном, и на денежном рынках, т. е. общее экономическое равновесие
^^ Контрольные вопросы и задания
1. Что представляет собой график автономных затрат? Почему точка пересечения графика автономных затрат и линии дохода является точкой, которая показывает равновесный уровень национального дохода?
2 Каков экономический смысл мультипликатора? Почему мультипликатор зависит от предельной склонности к потреблению?
3. Составьте таблицу, аналогичную табл. 12-2, дополнив ее государственными затратами на покупку товаров и услуг, допустив при этом, что государственные затраты равны 300 Постройте график автономных затрат, которые включают,
____________________________________________________ Глава 12
74 Макроэкономическое равновесие
помимо автономною потребления и автономных инвестиции, государственные затраты на товары и услуги. Определите равновесный уровень национальною дохода при зтих условиях
4 Объясните, почему повышение процентной ставки ведет
при прочих равных условиях к сокращению инвестиций,
а ее снижение — к их росту.
5 Рассмотрите гипотетические данные, приведенные в габл. 12-3.
Как, по вашему мнению, буду| поступать фирмы в отноше
нии инвестиции при повышении или понижении процент
ных очанок, если они инвестирую! не собственный, а заем
ный капитал?
|
|
|
6 Что нужно понимать под предложением денег и под спро
сом на деньги? Почему изменение величины национально
го дохода ведет к пропорциональному изменению спроса
на деньги?
7 Почему изменения процентных ставок ведут к изменению
спроса на деныи? Как реашруег спрос на деньги в зависи
мости oi изменении процентной ставки?
X Что представляют собой кривая IS и кривая LM1 Почему ючка пересечения кривых IS и LM показывает общее равновесие в экономике? В чем оно состоит9