Медианой М е называется варианта, которая делит ранжированный вариационный ряд на две равные части, из которых значение одной половины меньше медианы, а значения другой – больше медианы.
Медиана для несгруппированных данных при нечетном числе вариантов (n = 2k+ 1), определяется как M e = x k + 1, а при четном числе вариантов (n = 2k), медиана определяется по формуле:

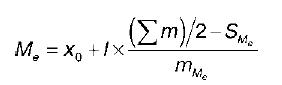
Медиана для сгруппированных данных рассчитывается по формуле:

где х 0 – это нижняя граница медианного интервала;
/– величина медианного интервала;
em / 2 – полусумма всех частот;
S Me – накопленная частота, предшествующая медианному интервалу;
m Ме – частота медианного интервала.
Медиана рассчитывают наряду со средней величиной или вместо нее, когда в ряду данных присутствуют открытые или неравные интервалы. Это не влияет на точность медианы, однако, влияет на точность величины.
Модой М 0 называется варианта, которая имеет наибольшую частоту по сравнению с другими частотами. В дискретно‑вариационном ряду мода – это та варианта, которой соответствует наибольшая частота.
|
|
|
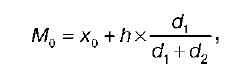
В интервальном вариационном ряду с равными интервалами моду определяют по формуле:

где х 0 – это нижняя граница модального интервала;
h – величина модального интервала;
d 1 – разность между частотами модального и предмодального интервалов;
d 2 – разность между частотами модального и послемодального интервалов.
Мода рассчитывается в тех случаях, когда невозможно или нецелесообразно рассчитывать среднюю величину по обычным формулам.
Асимметрией распределения называется несоразмерность, т. е. нарушение соответствия в расположении частей одного целого относительно средней линии или центра. На графике асимметрия распределения определяется как вытянутость одной из ветвей распределения. Асимметрия распределения возникает в связи с различной частотой появления вариант больших или меньших моды (т. к. мода соответствует вершине распределения) под влиянием преобладающего действия определенных факторов. Таким образом, наличие асимметрии говорит о неустойчивости распределения совокупности в связи с преобладающим воздействием какой‑либо группы факторов.
Асимметрия распределения легко обнаруживается и измеряется на основе разницы между средней величиной и модой. В умеренно асимметричных распределениях мода и средняя образуют интервал, в пределах которого находится медиана. Если разделить этот интервал на 3, то медиана отстоит от моды на 2/3, а от средней – на 1/3.
Для измерения асимметрии рядов распределения применяется эмпирический коэффициент асимметрии:

где x– – простая средняя;
М о– мода;
G – среднеквадратическое отклонение.