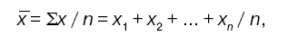
Основной средней величиной является средняя арифметическая. Выделяют простую и взвешенную среднюю арифметическую.
Базой для расчета простой средней арифметической являются первичные записи результатов наблюдения. Предположим, что известны значения признака x 1 x 2, …, х п. Каждое из этих значений повторяется один раз (или теоретически одинаковое количество раз), т. е. данные не сгруппированы. Тогда для такого ряда следует использовать формулу средней арифметической простого ряда или простую среднюю арифметическую:

где х – значение варьирующегося признака;
n – число единиц совокупности.
Базой для расчета взвешенной средней арифметической является обработанный цифровой материал, т. е. сгруппированные данные. Для таких данных используется формула средней арифметической взвешенной:

где х – значение варьирующегося признака;
m – веса, т. е. частоты, показывающие, сколько раз повторяется каждое значение признака в данной совокупности.
Формула получена путем взвешивания значений каждой варианты и деления суммы вариант на сумму весов. Формулы простой и взвешенной средней арифметической не эквивалентны друг другу.
Свойства средней арифметической:
1) алгебраическая сумма отклонений всех вариантов от средней арифметической равна нулю:
x = Σxm /Σm => x Σm = Σxm =>Σ(х‑х)m = 0.
Это свойство используется для проверки правильности расчетов; 2) сумма квадратов отклонений вариант от их средней арифметической больше суммы квадратов отклонений вариант от любого другого числа, не равного средней арифметической:

где x ≠ a;
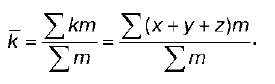
3) среднее алгебраическое суммы нескольких варьирующихся признаков равно сумме средних этих признаков:
k = x + y + z + …; 

Это свойство позволяет определить сумму путем суммирования значений каких*либо признаков;
4) если все варианты (х) увеличить или уменьшить на какое‑либо постоянное число (а), средняя (x) увеличится или уменьшится на то же самое число (y):
(х – а) = у; x – a = y;

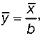
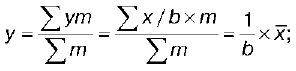
5) если все варианты (х) увеличить или уменьшить в одно и то же число раз (в), то средняя арифметическая увеличится или уменьшится в то же самое число раз:
если 
, 
то,
