При решении задач расчет средней величины начинается с составления исходного отношения – логической словесной формулы средней. Она составляется на основе теоретического и логического анализа. Иногда среднюю арифметическую нельзя использовать. В этом случае в зависимости от ситуации применяется одна из трех форм средней.
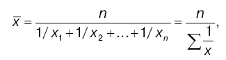
Средняя гармоническая простая строится по формуле:

где n – число единиц совокупности или число вариантов;
х – значения варьирующегося признака.
Средняя гармоническая простая используется для несгруппированных данных.
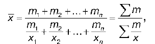
Средняя гармоническая взвешенная строится по формуле:

где х – значения варьирующего признака;
m – веса;
n – число единиц совокупности. Среднюю гармоническую взвешенную используют для сгруппированных данных, т. е. когда каждое значение х повторяется различное число раз.
Средняя квадратическая простая строится по формуле:

где n – число единиц совокупности или число вариантов; х – значения варьирующегося признака.
Средняя квадратическая простая используется для несгруппированных данных.
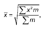
Средняя квадратическая взвешенная строится по формуле:

где m – веса;
х – значения варьирующего признака.
Среднюю квадратическую взвешенную используют для сгруппированных данных.
Данные формулы используются редко, в специальных расчетах.
Средняя геометрическая простая строится по формуле:

где n – число единиц совокупности или число вариантов;
х – значения варьирующегося признака. Средняя геометрическая простая используется для несгруппированных данных.
Средняя геометрическая взвешенная строится по формуле:

где х – значения варьирующего признака;
m – веса;
n – число единиц совокупности или число вариантов. Различные формулы средних величин можно объединить в одной формуле – формуле степенной средней:

где р – порядок средней.






