К абсолютным показателям вариации относятся:
1) вариационный размах (R);
2) среднее абсолютное (линейное) отклонение (в);
3) дисперсия (G 2);
4) среднеквадратическое отклонение (G).
Вариационный размах R – это разность между
наибольшей и наименьшей вариантами вариационного ряда:
R = хmax – хmin
Вариационный размах является наиболее простой характеристикой рассеяния вариационного ряда. Недостатки данного показателя: 1) неточно характеризует колеблемость, потому что зависит только от двух значений признака;
2) зависит от объема совокупности, т. е. с увеличением объема совокупности увеличивается вероятность размера вариационного размаха.
Среднее абсолютное отклонение в – это вели чина, которая рассчитывается как среднее арифметическое абсолютных отклонений в данной совокупности.
Различают простое и взвешенное среднее абсолютное отклонение.
Среднее абсолютное простое отклонение рассчитывается по формуле:

где – n– объем совокупности;
x – выборочное среднее.
Среднее абсолютное взвешенное отклонение рассчитывается по формуле: 
|
|
|
где x – выборочное среднее;
m – веса.
Недостатки данного показателя:
1) оторванность от других показателей. Это объясняется тем, что при построении показателя используется искусственный подход, т. е. отклонение берется по модулю (положительное);
2) недостаточная реакция на слабые различия в степени вариации.
Дисперсия – это среднее арифметическое квадратов отклонения наблюдаемых значений признака от – их среднего значения x.
Если значения признака, полученные в результате выборочного наблюдения, не группировать и не представлять в виде вариационного ряда, то для вычисления дисперсии используют формулу:

где n – объем выборки.
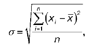
Среднеквадратическое отклонение – это квадратный корень из среднего арифметического квадратов отклонения наблюдаемых значений признака от – их среднего значения x, или квадратный корень из дисперсии.
Среднеквадратическое отклонение для несгруппированных данных рассчитывается по формуле:
