К относительным показателям динамики относятся:
1) темп роста;
2) темп прироста;
3) средний темп роста;
4) средний темп прироста.
Данные показатели характеризуют интенсивность изменения уровня динамического ряда за период и выражаются в форме коэффициента или в процентах.
Предположим, что дано n уровней динамического ряда: у0, у1, …, уn‑1, уn.
Рассчитаем показатель темпа роста для заданного динамического ряда.
Темп роста – это отношение последующего уровня динамического ряда к предыдущему уровню. Если числитель меньше знаменателя, то говорят о темпах снижения.
Различают базисные и цепные темпы роста.
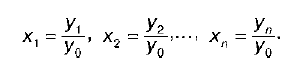
Базисные темпы роста:

Эти показатели показывают, во сколько раз последующий уровень динамического ряда больше или меньше его базисного уровня у0.
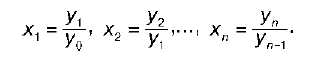
Цепные темпы роста:

Эти показатели показывают, во сколько раз последующий уровень динамического ряда больше или меньше его предыдущего уровня.
Базисный темп роста всего динамического ряда равен произведению последовательных цепных темпов роста. Данная взаимосвязь позволяет определить базисные темпы роста на основе цепных темпов роста.
Рассчитаем показатель темпа прироста для заданного динамического ряда.
Темп прироста – это отношение абсолютного прироста к базисному уровню ряда:

Темп прироста – это темп роста, уменьшенный на одну единицу, или на 100 %. Различают базисные и цепные темпы прироста. Они показывают, на сколько процентов изменился уровень.
Рассчитаем показатель среднего (годового) темпа роста для заданного динамического ряда. В основу его расчета положена взаимосвязь базисного и цепных темпов роста.
Доказано, что xб = xц1 × xц2 ×… × xцn. Заменим каждое x на 
. Отсюда получим три формулы среднего темпа роста:
1) 
где n – это показатель времени, за который рассчитывается средний темп роста;
2) 
где у – уровень ряда (абсолютный показатель);
3) 
где х – цепные темпы роста;
n – период времени, который соответствует числу сомножителей. Средний темп роста показывает, во сколько раз ежегодно изменяется уровень исследуемого динамического ряда за изучаемый период в среднем.
Рассчитаем показатель среднего годового темпа прироста для заданного динамического ряда:
