Уровни динамического ряда изменяются под влиянием двух групп факторов: систематических (детерминированных) и случайных. Задача исследователя состоит в устранении в какой‑то мере случайных факторов и выявлении основной тенденции развития уровней динамического ряда.
Эта задача может быть решена двумя способами:
1) сглаживанием по методу скользящих средних;
2) аналитическим выравниванием по методу наименьших квадратов.
Суть сглаживания уровней динамического ряда по методу скользящей средней заключается в следующем. Данный метод основан на идее перехода от менее крупных интервалов времени к более крупным. Такие средние величины называются скользящими. Они образуют сглаженный динамический ряд, по которому судят об основных тенденциях ряда. В сглаживании постепенно участвуют все уровни ряда путем передвижки на один уровень вперед.
Например, первое значение х1 сглаженного динамического ряда рассчитывается по формуле:

Второе значение х2 сглаженного динамического ряда рассчитывается по формуле:

где к – период сглаживания.
Таким образом, полученные средние величины х1, х2 … образуют сглаженный ряд динамики.
Сглаживание можно производить и для четного периода, например для четырех лет. Вспомогательный ряд скользящих средних рассчитывается так же, как и при нечетном периоде, а основной рассчитывается постепенно на основе двух соседних средних вспомогательного ряда по формуле простой средней.
Аналитическое выравнивание – это более сложный прием выявления основных тенденций динамического ряда. Данный процесс включает два этапа:
1) выбор вида кривой (функции), форма которой соответствует характеру изменения динамического ряда;
2) определение параметров и выравненных значений уровней динамического ряда.
На первом этапе на линейном графике по фактическим данным строят ломаную кривую. При этом по оси абсцисс откладывают время, а по оси ординат – значения динамического ряда. Затем глазомерно оценивают ее и выбирают наиболее подходящую кривую. Это может быть прямая или парабола, показательная функция и т. д. Во всех случаях выбранная кривая должна удовлетворять методу наименьших квадратов. Его суть:

где у – фактические уровни динамического ряда;
y t – выровненные или теоретические уровни для каждого периода t.
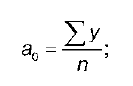
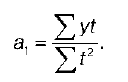
На втором этапе аналитического выравнивания параметры функции, например прямой y t = a 0 + a 1 t, определяются с помощью системы нормальных уравнений, например:


Определив а 0 и а 1, подставляют их значения в уравнение прямой, где t – время.
Параметр а 0 интерпретируется как вычисленный теоретический уровень срединного члена ряда. Параметр а 1 трактуется как средняя скорость изменения уровня ряда (средний абсолютный прирост).