Сопоставимость – это сравнимость показателей во времени. Несопоставимость данных во времени может быть вызвана следующими причинами:
1) территориальными изменениями;
2) изменением единиц счета;
3) изменением методологии расчетов;
4) изменением круга охвата объектов.
В связи с тем что экономические явления изменяются во времени, для характеристики скорости и интенсивности изменения этих явлений используются абсолютные и относительные показатели динамики.
К абсолютным показателям динамики относятся:
1) абсолютный прирост;
2) средний абсолютный прирост.
Эти показатели рассчитываются за месяц, квартал, год. Они характеризуют скорость изменения уровней динамического ряда в единицу времени. Единицы измерения абсолютных показателей динамики совпадают с единицами измерения уровней динамического ряда. Абсолютные показатели динамики отвечают на вопрос, насколько в абсолютном выражении изменился уровень динамического ряда за прошедший период.
Абсолютный прирост – это разность между последующим и предшествующим уровнями динамического ряда. В тех случаях, когда разность получается со знаком минус, показатель называется абсолютным снижением.
Различают базисные и цепные абсолютные приросты. Предположим, что данолуровней динамического ряда: у у …, уn‑ 1, уn.
Рассчитаем базисные абсолютные приросты для данного динамического ряда:
Δ1 = у 1 – у 0; Δ2 = у 2 – у 0; … Δ n = уn – у 0.
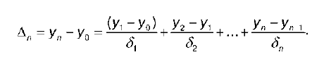
где уn – называется сравниваемым уровнем, у 0 – базисным уровнем динамического ряда. Базисные абсолютные приросты показывают увеличение или снижение в каждом последующем периоде уровня исследуемого показателя по сравнению с базой. Рассчитаем цепные абсолютные приросты для данного динамического ряда:
δ1 = у 1 – у 0; δ2 = у 2 – у 1; … δn = у n – у n‑1.
Базисные абсолютные приросты показывают увеличение или снижение уровня исследуемого показателя по сравнению с предыдущим периодом. Между базисными и цепными абсолютными приростами существует зависимость:

Таким образом, базисный абсолютный прирост равен сумме последовательных цепных приростов. Это связь позволяет определить базисные абсолютные приросты другим путем.
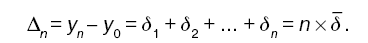
Рассчитаем показатель среднего абсолютного прироста для заданного динамического ряда. Данный показатель получают на основе зависимости между базисными и цепными абсолютными приростами:

Следовательно:

где n – период времени,
или:

где n – период времени, соответствующий количеству приростов. Показатель среднего абсолютного прироста показывает, на сколько единиц (например ежегодно за изучаемый период), изменяется в среднем уровень динамического ряда.