Анализ динамики себестоимости продукции осуществляется с помощью индексного метода. При этом строятся следующие индексы:
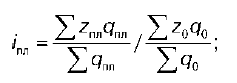
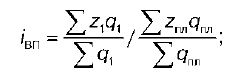
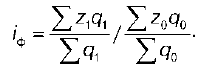
1) индекс планового задания по изменению себестоимости:

2) индекс выполнения планового задания по уровню себестоимости единицы продукции:

3) индекс фактического снижения себестоимости единицы продукции в отчетном периоде по сравнению с базисным:

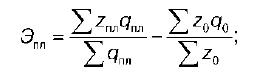
На основании данных индексов можно рассчитать показатели экономии (перерасхода):
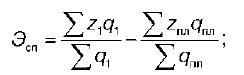
1) экономия по снижению себестоимости единицы продукции данного вида, предусмотренная по прогнозу:

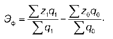
2) сверхплановое изменение себестоимости единицы продукции:

3) фактическое абсолютное отклонение уровней себестоимости единицы продукции в отчетном периоде по сравнению с базисным:

Анализ влияния отдельных факторов на изменение себестоимости продукции проводится на основании индекса затрат на производство, представленного как произведение индекса себестоимости и индекса физического объема продукции:

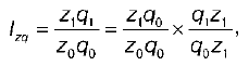
где z 1, z 0 – себестоимость единицы продукции;
|
|
|
q 1, q 0 – объем произведенной продукции.
Тогда можно рассчитать абсолютные приросты затрат на производство за счет двух факторов: 1) абсолютный прирост затрат на производство за счет изменения физического объема продукции:
∆ C (q) = q 1 z 1 – q 0 z 1 = z 1 × (q 1 – q 0);
2) абсолютный прирост затрат на производство за счет изменения себестоимости единицы продукции:
∆ C (z) = z 1 q 0 – z 0 q 0 = q 0 × (z 1 – z 0).
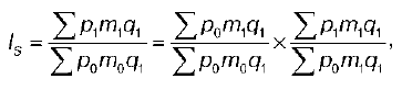
Индекс затрат на материалы можно представить как произведение индекса норм расхода материалов и индекса цен на материалы: 
где m 1, m 0 – нормы расхода конкретного вида ресурса на единицу определенного вида продукции в отчетном и базисном периодах; p 1, p 0 – стоимость конкретного вида ресурса в отчетном и базисном периодах.
67. Система социально‑экономических индикаторов и показатели СНС, характеризующие уровень жизни населения
Однозначного определения понятия «уровень жизни населения» в экономической и статистической литературе не существует. Наиболее распространенным является определение уровня жизни населения как совокупности товаров и услуг, которыми располагает отдельный человек, семья или социальная группа населения.
Анализ уровня жизни населения проводится с помощью статистических показателей, сгруппированных в следующие основные блоки:
1) показатели доходов населения;
2) показатели расходов и потребления населением материальных благ и услуг;
3) показатели накопленного имущества и обеспеченности населения жильем;
4) показатели дифференциации доходов населения, уровня и границ бедности;
5) социально‑демографические характеристики;
|
|
|
6) обобщающие оценки уровня жизни населения.
Данная подсистема показателей в большей степени характеризует количественную сторону уровня жизни населения.
Для качественной характеристики условий жизни населения используется система показателей социальной статистики, в которую входят:
1) основные показатели демографической статистики;
2) показатели состояния и охраны здоровья;
3) показатели качества и структуры потребляемых продуктов питания;
4) показатели уровня грамотности и состояния сферы образования и культуры;
5) показатели комфортабельности жилья и др.
Информационную базу для системы показателей социального развития и уровня жизни населения составляют материалы выборочных обследований бюджетов домашних хозяйств и материалы других разделов статистики.
К показателям системы национальных счетов, характеризующих уровень жизни населения, относятся:
1) первичные доходы домашних хозяйств – доходы, полученные данным сектором экономики в результате первичного распределения добавленной стоимости (оплата труда, смешанные доходы, чистые доходы от собственности);
2) номинальные располагаемые доходы домашних хозяйств – первичные доходы, скорректированные на сальдо секущих трансфертов:
РД = ПД ± ∆ ТТ,
где ПД – первичные доходы; ∆ ТТ – сальдо текущих трансфертов.
Сальдо текущих трансфертов – разница между текущими переданными трансфертами (частью первичных доходов, переданных в виде текущих налогов на доходы и собственность, обязательных отчислений на социальное страхование, штрафов и т. д. в другие сектора экономики) и текущими полученными трансфертами (встречным финансовым потоком из других секторов экономики в виде выплат социального характера, страховых премий и т. д.). Скорректированный располагаемый доход домашних хозяйств:
СРД = РД + СТ,
где СТ – социальные трансферты в натуральной форме, получаемые домашними хозяйствами от органов государственного управления и некоммерческих организаций, обслуживающих домашние хозяйства. Фактическое конечное потребление домашних хозяйств – стоимость товаров и услуг, фактически приобретенных домашними хозяйствами‑резидентами за счет текущих доходов для индивидуального потребления или полученных ими от государственных учреждений и некоммерческих организаций бесплатно или по льготным ценам в виде социальных трансфертов.