Реальным располагаемым доходом домашних хозяйств называется номинальный располагаемый доход текущего периода, скорректированный на индекс потребительских цен. Реальный располагаемый доход отражает ту максимальную стоимость товаров и услуг, которые могли бы приобрести домашние хозяйства на свои текущие доходы, исходя из цен базисного периода.
С помощью индексов потребительских цен оценивают изменение во времени общего уровня цен на товары и услуги, приобретаемые населением для непроизводственного пользования.
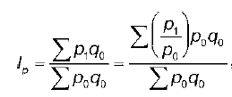
Индексы потребительских цен рассчитывают по схеме Ласпейраса:

где p 0, p 1 – средние цены покупки товара (услуги) в базисном и отчетном периодах;
q 0 – количество товара, включенного в потребительский набор базисного периода;
p 0 q 0 – стоимость товара (услуги) или доля в составе потребительских расходов населения базисного периода.
Однако в статистической практике принято вычислять не абсолютную величину реальных доходов, а их относительную величину (индекс).
Индекс реальных располагаемых доходов домашних хозяйств:
I РРД = I РД / I Р,
где I РД – индекс номинальных располагаемых доходов; I Р – сводный индекс потребительских цен.
С целью оценки изменений в соотношении цен на отдельные товары по регионам и различным сегментам потребительского рынка рассчитывается показатель покупательной способности денежных доходов населения:

где ДД – среднедушевой денежный доход;
P i – средняя цена i‑го товара.
При статистическом изучении уровня и границ бедности определяется граница дохода или стоимостная величина прожиточного минимума, с которой сравниваются фактические доходы отдельных слоев населения.
Величина прожиточного минимума определяется по формуле:
А = В + С + D + Е,
где А – величина прожиточного минимума; В – стоимость минимальной продовольственной корзины (набора продуктов питания, составленного с учетом норм физиологических потребностей в пищевых веществах и энергии и обеспечивающего минимально необходимое количество калорий);
С – стоимостная оценка потребления непродовольственных товаров;
D – стоимостная оценка расходов на платные услуги;
Е – расходы на налоги и обязательные платежи.
К показателям бедности населения относятся:
1) показатель дефицита дохода, рассчитываемый как суммарный доход населения, недостающий до величины прожиточного минимума. Данный показатель определяется на основе данных о доходах бедного населения;
2) коэффициент бедности, рассчитываемый как процентное отношение численности населения, имеющего уровень доходов ниже прожиточного минимума, к общей численности населения страны (региона).






