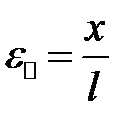
• Относительная деформация при продольном растяжении или сжатии тела:
,
где
— относительное удлинение (сжатие); x — абсолютное удлинение (рис. 4.1); l — начальная длина тела.
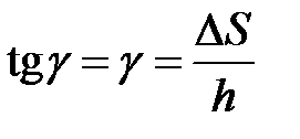
Относительная деформация при сдвиге определяется из формулы:
,
где
— относительный сдвиг; Δ S — абсолютный сдвиг параллельных слоев тела относительно друг друга; h — расстояние между- слоями;
— угол сдвига.
(Для малых углов
)
• Напряжение нормальное:
,
где
— упругая сила, перпендикулярная поперечному сечению тела; S — площадь этого сечения.
Напряжение тангенциальное:
,
где
— упругая сила, действующая вдоль слоя тела; S — площадь этого слоя.
• Закон Гука для продольного растяжения или сжатия:
или
,
где k — коэффициент упругости (в случае пружины — жесткость); Е — модуль Юнга.
Закон Гука для сдвига:
,
где G — модуль поперечной упругости (модуль сдвига).
• Момент, закручивающий на угол φ однородный круглый стержень:
,
где К — постоянная кручения.
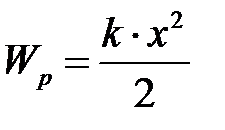
• Потенциальная энергия растянутого или сжатого стержняпри однородной деформации:
или
;
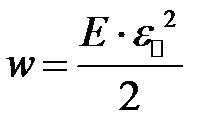
при неоднородной деформации:
,
где V — объем тела; объемная плотность энергии растянутого или сжатого стержня
.






