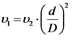
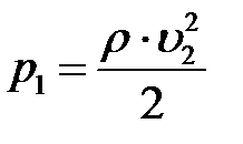
Пример 1. Вода подается в фонтан из большого цилиндрического бака (рис. 19) и бьет из отверстия II—II со скоростью υ2 = 12 м/с. Диаметр D бака равен 2 м, диаметр d сечения II—II равен 2 см. Найти: 1) скорость v1 понижения воды в баке; 2) давление p1, под которым вода подается в фонтан; 3) высоту h1 уровня воды в баке и высоту h2 струи, выходящей из фонтана.
| Рис. 19 |

Решение. 1. Проведем сечение I—I в баке на уровне сечения II—II фонтана. Так как площадь S1 сечения I—I много больше площади S2 (рис. 19) сечения II—II, то высоту h1 уровня воды вбакеможно считать длямалого промежутка времени постоянной, а поток – установившимся. Для установившегося потока справедливо условие неразрывности струи
,
откуда
, или
(1)
Подставив значения заданных величин в (1) и произведя вычисления, найдем
υ 1 = 0,0012 м/с.
С такой же скоростью будет понижаться уровень вбаке. Как видно, эта скорость очень мала по сравнению со скоростью струи.
2. Давление p 1, под которым вода подается в фонтан, найдем по уравнению Бернулли. В случае горизонтальной трубки тока оно имеет вид
|
|
|
. (2)
Учтя, что p2 = 0 (под давлением подразумевается избыточное над атмосферным давление), из уравнения (2) получим
. (3)
Так как υ1 << υ2, то из равенства (3) следует
.
После вычислений, произведенных по этой формуле, найдем p 1 = 72 кПа.
3. Высоту h1 уровня воды в баке найдем из соотношения
, откуда
.
Произведя вычисления по этой формуле, найдем
h 1 = 7,35 м.
Зная скорость υ2, с которой вода выбрасывается фонтаном, найдем высоту h2, на которую она будет выброшена:
= 7,35 м.
Подчеркнем, что высота уровня воды в баке равна высоте, на которую поднимается фонтан воды (по правилу сообщающихся сосудов). Это замечание справедливо, если пренебречь сопротивлением воздуха.
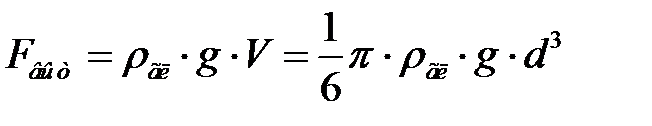
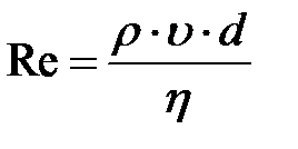
Пример 2. В сосуде с глицерином падает свинцовый шарик. Определить максимальное значение диаметра шарика, при котором движение слоев глицерина, вызванное падением шарика, является еще ламинарным. Движение считать установившимся.
Решение. Если в вязкой жидкости движется тело, то вместе с ним, как одно целое, движется и прилипший к телу слой жидкости. Этот слой вследствие внутреннего трения увлекает за собой и соседние слои. Возникающее при этом движение жидкости является ламинарным или турбулентным в зависимости от размеров, формы тела и его скорости. Характер движения зависит также от свойств жидкости и определяется безразмерным числом Рейнольдса.
Если тело, движущееся в жидкости, имеет форму шара диаметром d, то число Рейнольдса определяется по формуле
, (1)
а критическое значение этого числа Re кр = 0,5.
Скорость υ выразим, исходя из следующих соображений. На свинцовый шарик, падающий в глицерине, действуют три силы:
|
|
|
1) сила тяжести шарика
,
где
св — плотность свинца; V — объем шарика;
2) выталкивающая сила, определяемая по закону Архимеда
,
где
гл — плотность глицерина;
3) сила внутреннего трения, определяемая по формуле Стокса,
.
При установившемся движении шарика в жидкости (υ = const) сила тяжести шарика уравновешивается суммой выталкивающей силы и силы внутреннего трения, т. е.
,
откуда
(2)
Решая совместно уравнения (1) и (2) относительно d, найдем
.
Максимальное значение диаметра dmax при котором движение остается еще ламинарным, соответствует критическому значению числа Рейнольдса Reкp. Поэтому
.
Подставив сюда значения величин h = 1,48 Па · с; Re кp = 0,5;
cв = 11300 кг/м3;
гл = 1260 кг/м3 и произведя вычисления, получим dmax = 5,29 мм.
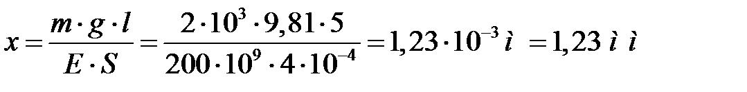
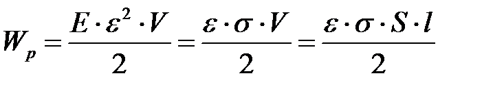
Пример 3. Верхний конец стального стержня длиной l = 5 м с площадью поперечного сечения S = 4 см2 закреплен неподвижно, к нижнему подвешен груз массой
кг. Определить: 1) нормальное напряжение
материала стержня; 2) абсолютное х и относительное ε удлинения стержня; 3) потенциальную энергию
растянутого стержня.
Решение. 1. Нормальное напряжение материала растянутого стержня выражается формулой
, где F — сила, действующая вдоль оси стержня. В данном случае F равна силе тяжести m?g и поэтому можем записать
.
Сделав вычисления, найдем
МПа.
2. Абсолютное удлинение выражается формулой
,
где Е — модуль Юнга.
Подставив значения величин F, l, S и Е в эту формулу (значение 
Па из справочных данных) и произведя вычисления, получим
.
Относительное удлинение стержня
= 2,46 · 10-4.
3. Потенциальная энергия растянутого стержня
,
где V — объем тела, равный S × l.
Выполнив вычисления по этой формуле, получим
= 12,1 Дж.
Пример 4. Найти молярную массу М смеси кислорода массой m 1 = 25 г и азота массой m 2=75 г.
Решение. Молярная масса смеси М см есть отношение массы смеси т см к количеству вещества смеси
см т. е.
. (1)
Масса смеси равна сумме масс компонентов смеси m см = m 1 + m 2. Количество вещества смеси равно сумме количеств вещества компонентов.
Подставив в формулу (1) выражения m см и
см, получим
. (2)
Молярные массы M 1 кислорода и М 2 азота:
M 1 = 32 × 10-3 кг/моль, М 2 = 28 × 10-3 кг/моль. Подставим значения величин в (2) и произведем вычисления:

Пример 5. Определить: 1) число N молекул воды, занимающей при температуре t = 4°C объем V = 1 мм3; 2) массу m 1 молекулы воды; 3) диаметр d молекулы воды, считая, что молекулы имеют форму шариков, соприкасающихся друг с другом.
Решение. 1. Число N молекул, содержащихся в теле некоторой массы m, равно произведению постоянной Авогадро n a на количество вещества
:
.
Так как
, где М — молярная масса, то
. Выразив в этой формуле массу как произведение плотности r на объем V, получим
. (1)
Все величины, кроме молярной массы воды, входящие в (1), известны: r = l × 103 кг/м3, V = 1 мм3 = 1 × 10-9 м3, n a = 6,02 × 1023 моль-1.
Зная химическую формулу воды (Н2О), найдем молярную массу воды:
M = M r k = (2? 1 + 1? 16)? 10-3 кг/моль = 18? 10-3 кг/моль.
Подставим значения величин в (1) и произведем вычисления:
N = [1? 103 ? 1? 10-9/(18? 10-3)] 6,02? 1023 молекул = 3,34 · 1019 молекул.
2. Массу одной молекулы воды найдем делением ее молярной массы на постоянную Авогадро: m 1 = M / n a. Произведя вычисления по этой формуле, получим
.
3. Будем считать, что молекулы плотно прилегают друг к другу, тогда на каждую молекулу диаметром d приходится объем (кубическая ячейка) V 1 = d 3. Отсюда
.(2)
Объем V 1 найдем, разделив молярный объем V m вещества на число молекул в моле, т. е. на постоянную Авогадро n a: V 1 = V m/ n a. Молярный объем равен отношению молярной массы к плотности вещества, т. е. V m = M / r. Поэтому можем записать, что V 1 = M /(r?n a). Подставив полученное выражение V 1 в формулу (2), получим
|
|
|
. (3)
Теперь подставим значения величин в формулу (3) и произведем вычисления:
d = 3,11 × 10-10 м = 311 пм.
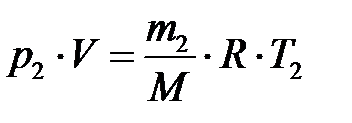
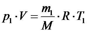
Пример 6. В баллоне объемом V = 10 л находится гелий под давлением
= 1 МПа при температуре T 1 = 300 К. После того как из баллона был израсходован гелий массой m = 10 г, температура в баллоне понизилась до T 2 = 290 К. Определить давление
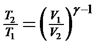
гелия, оставшегося в баллоне.
Решение. Для решения задачи воспользуемся уравнением Клапейрона – Менделеева, применив его дважды к начальному и конечному состояниям газа. Для начального состояния уравнение имеет вид
, (1)
а для конечного состояния –
, (2)
где m 1 и m 2 — массы гелия в начальном и конечном состояниях.
Выразим массы m 1 и m 2 гелия из уравнений (1) и (2):
; (3)
. (4)
Вычитая из (3) равенство (4), получим
.
Отсюда найдем искомое давление:
. (5)
Проверим, дает ли правая часть формулы (5) единицу давления. Для этого выразим все величины, входящие в нее, в соответствующих единицах. Единица, в которой выражается первое слагаемое, не вызывает сомнений, так как отношение T 2/ T 1 — величина безразмерная.
В формуле (5) все величины, кроме молярной массы М гелия, известны. Для гелия как одноатомногогаза относительная молекулярная масса равна его относительной атомной массе А r.
Из таблицы Д. И. Менделеева найдем А r = 4. Следовательно, молярная масса гелия М = А r × 10-3 кг/моль = 4 × 10-3 кг/моль. Подставив значения величин в (5), получим
.
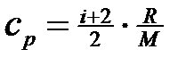
Пример 7. Определить количество теплоты, поглощаемой водородом массой m =0,2 кг при нагревании его от температуры t 1 = 0°С до температуры t 2 = 100 °С при постоянном давлении. Найти также изменение внутренней энергии газа и совершаемую им работу.
Решение. Количество теплоты Q, поглощаемое газом при изобарном нагревании, определяется по формуле
Q = m?cp?DT, (1)
где m — масса нагреваемого газа; cp — его удельная теплоемкость при постоянном давлении; D T — изменение температуры газа.
Как известно,
. Подставив это выражение c p в формулу (1), получим
,
где
(молекула водорода двухатомная);
кг/моль – молярная масса водорода.
|
|
|
Произведя вычисления по этой формуле, найдем Q = 291 кДж.
Внутренняя энергия выражается формулой
, следовательно, изменение внутренней энергии
.
После подстановки в эту формулу числовых значений величин и вычислений получим DU = 208 кДж.
Работу расширения газа определим по формуле, выражающей первое начало термодинамики:
Q = DU + A,
откуда A = Q – DU.
Подставив значения Q и DU, найдем
А = 83 кДж.
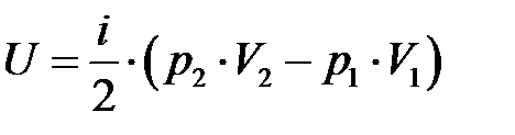
Пример 8. Кислород занимает объем V 1 = 1 м3 и находится под давлением р 1 = 200 кПа. Газ нагрели сначала при постоянном давлении до объема V 2 = 3 м3, a затем при постоянном объеме до давления (рис.20) р 2 = 500 кПа. Построить график процесса и найти: 1) изменение DU внутренней энергии газа; 2) совершенную им работу A; 3) количество теплоты Q, переданное газу.
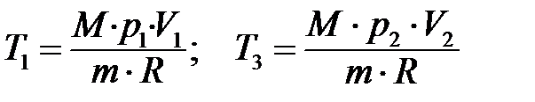
Решение. Построим график процесса (рис.20). На графике точками 1, 2, 3 обозначены состояния газа, характеризуемые параметрами (р 1, V 1, T 1), (р 1, V 2, T 2),(р 2, V 2, T 3).
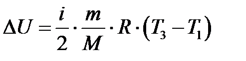
1. Изменение внутренней энергии газа при переходе его из состояния 1 в состояние 3 выражается формулой
DU = cv ? m? DT,
где c v — удельная теплоемкость газа при постоянном объеме; m — масса газа; D T — разность температур, соответствующих конечному 3и начальному 1 состояниям, т. е. D T = T 3 – T 1. Так как
;
где М — молярная масса газа, то
. (1)
Температуры T 1 и T 3 выразим из уравнения Менделеева — Клапейрона (
):

С учетом этого равенство (1) перепишем в виде
.
Подставим сюда значения величин (учтем, что для кислорода, как двухатомного газа, i = 5 и произведем вычисления:
DU = 3,25 МДж.
2. Полная работа, совершаемая газом, равна A = A 1 + A 2, где A 1 — работа на участке 1-2; A 2 — работа на участке 2-3,
На участке 1-2 давление постоянно (p = const). Работа в этом случае выражается формулой A 1 = p 1 D V = p 1(V 2 – V 1). На участке 2-3 объем газа не изменяется и, следовательно, работа газа на этом участке равна нулю (A 2 = 0). Таким образом,
A = A1 = p1(V2—V1).
Подставив в эту формулу значения физических величин, произведем вычисления:
A = 0,4 МДж
3. Согласно первому началу термодинамики, количество теплоты Q, переданное газу, равно сумме работы A, совершенной газом, и изменению D U внутренней энергии:
Q = A + DU, или Q = 3,65 МДж.
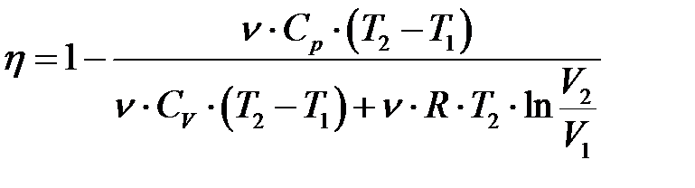
Пример 9. Идеальный двухатомный газ, содержащий количество вещества
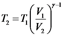
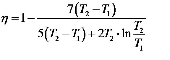
= l моль, находится под давлением p 1 = 250кПа и занимает объем V 1 = 10 л. Сначала газ изохорно нагревают до температуры T 2 = 400 К. Далее, изотермически расширяя, доводят его до первоначального давления. После этого путем изобарного сжатия возвращают газ в начальное состояние. Определить термический КПД h цикла.
Решение. Для наглядности построим сначала график цикла, который состоит из изохоры, изотермы и изобары. В координатах р, V этот цикл имеет вид. представленный на рис.21. Характерные точки цикла обозначим 1, 2, 3.
Термический КПД любого цикла определяется выражением
, (1)
где Q 1 — количество теплоты, полученное газом за цикл от нагревателя; Q 2 — количество теплоты, отданное газом за цикл охладителю.
Заметим, что разность количеств теплоты Q 1 – Q 2 равна работе A, совершаемой газом за цикл. Эта работа на графике в координатах р, V (рис.21) изображается площадью цикла (площадь цикла заштрихована).
Рабочее вещество (газ) получает количество теплоты Q 1 на двух участках: Q 1-2 на участке 1-2 (изохорный процесс) и Q 2-3 на участке 2-3 (изотермический процесс). Таким образом,
Q1 = Q1-2 + Q2-3.
Количество теплоты, полученное газом при изохорном процессе, равно
,
где C v — молярная теплоемкость газа при постоянном объеме;
— количество вещества. Температуру T 1 начального состояния газа найдем, воспользовавшись уравнением Клапейрона — Менделеева:
.
Подставив числовые значения и произведя вычисления, получим
.
Количество теплоты, полученное газом при изотермическом процессе, равно
,
где V 2 — объем, занимаемый газом при температуре T 2 и давлении p 1 (точка 3 на графике).
На участке 3-1 газ отдает количество теплоты Q 2, равное
,
где Cp — молярная теплоемкость газа при изобарном процессе.
Подставим найденные значения Q 1 и Q 2 в формулу (1):
.
В полученном выражении заменим отношение объемов V 2/ V 1, согласно закону Гей-Люссака, отношением температур (V 2/ V 1 = T 2/ T 1) и зная C v и Cp для двухатомного газа [ C v = 5 R /2, C p = 7 R /2]. Тогда после сокращения на
и R /2 получим
.
Подставив значения T 1, T 2 и R и произведя вычисления, найдем
.
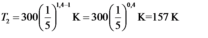
Пример 10. В цилиндре под поршнем находится водород массой m = 0,02 кг при температуре T 1 = 300K. Водород начал расширяться адиабатно, увеличив свой объем в пять раз, а затем был сжат изотермически, причем объем газа уменьшился в пять раз. Найти температуру Т 2, в конце адиабатного расширения и работу А, совершенную газом. Изобразить процесс графически.
Решение. Температуры и объемы газа, совершающего адиабатный процесс, связаны между собой соотношением
,
где g — показатель адиабаты (для водорода как двухатомного газа g = 1,4).
Отсюда получаем выражение для конечной температуры T 2:
.
Подставляя числовые значения заданных величин, находим
.
Работа A 1 газа при адиабатном расширении определяется по формуле
.
Подставив сюда числовые значения величин, после вычисления получим
.
Работа A 2 газа при изотермическом сжатии выражается формулой
.
Произведя вычисления по этой формуле, найдем
A 2= – 21 кДж.
| Рис. 22 |
Знак минус показывает, что при сжатии газа работа совершена внешними силами.
Общая работа, совершенная газом при рассмотренных процессах, А = A 1 + A 2 = 29,8 кДж + (–21 кДж) = 8,8 кДж.
График процесса приведен на рис.22.
Пример 11. Нагреватель тепловой машины, работающей по обратимому циклу Карно, имеет температуру t 1 = 200°С. Определить температуру Т 2, охладителя, если при получении от нагревателя количества теплоты Q 1 = 1 Дж машина совершает работу A = 0,4 Дж? Потери на трение и теплоотдачу не учитывать.
Решение. Температуру охладителя найдем, применив выражение для термического КПД машины, работающей по циклу Карно,
.
Отсюда
T 2 = T 1(1 – h). (1)
Термический КПД тепловой машины выражает отношение количества теплоты, которое превращено в механическую работу A, к количеству теплоты Q 1, которое получено рабочим телом тепловой машины из внешней среды (от нагревателя), т. е. h = A/Q 1. Подставив это выражение в формулу (1), найдем
. (2)
Учтя, что T 1 = 473 К, после вычисления по формуле (2) получим T 2 = 284 К.
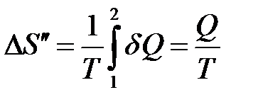
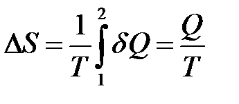
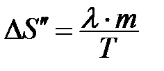
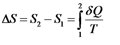
Пример 12. Найти изменение D S энтропии при нагревании воды массой m = 100 г от температуры t 1 = 0°C до температуры t 2 = 100 °С и последующем превращении воды в пар той же температуры.
Решение. Найдем отдельно изменение энтропии D S ' при нагревании воды и изменение энтропии D S " при превращении ее в пар. Полное изменение энтропии выразится суммой D S ' и D S ".
Как известно, изменение энтропии выражается общей формулой
(1)
При бесконечно малом изменении dT температуры нагреваемого тела затрачивается количество теплоты
,
где m — масса тела; с — его удельная теплоемкость. Подставив выражение
в равенство (1), найдем формулу для вычисления изменения энтропии при нагревании воды:
.
Вынесем за знак интеграла постоянные величины и произведем интегрирование, тогда получим

После вычислений найдем D S ' = 132 Дж/К.
При вычислении по формуле (1) изменения энтропии во время превращения воды в пар той же температуры постоянная температуpa T выносится за знак интеграла. Вычислив интеграл, найдем
(2)
где Q — количество теплоты, переданное при превращении нагретой воды в пар той же температуры.
Подставив в равенство (2) выражение количества теплоты Q = l? m, где l — удельная теплота парообразования, получим
. (3)
Произведя вычисления по формуле (3), найдем
D S " = 605 Дж/К.
Полное изменение энтропии при нагревании воды и последующем превращении ее в пар D S = D S ' + D S " = 737 Дж/К.
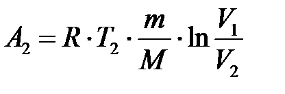
Пример 13. Определить изменение D S энтропии при изотермическом расширении кислорода массой m = 10 г от объема V 1 = 25 л до объема V 2 = 100 л.
Решение. Так как процесс изотермический, то в общем выражении энтропии
температуру выносят за знак интеграла. Выполнив это, получим
(1)
Количество теплоты Q, полученное газом, найдем по первому началу термодинамики: Q = DU + A. Для изотермического процесса DU = 0, следовательно,
Q = A, (2)
а работа А для этого процесса определяется по формуле
. (3)
С учетом (2) и (3) равенство (1) примет вид
. (4)
Подставив в (4) числовые значения и произведя вычисления, получим
D S = (10 × 10-3/(32 × 10-3)) × 8,31 ln (100 × 10-3 / (25 × 10-3)) Дж/К = 3,60 Дж/К.
Задачи
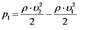
81. В сосуд заливается вода со скоростью 0,5 л/с. Пренебрегая вязкостью воды, определить диаметр отверстия в сосуде, при котором вода поддерживалась бы на постоянном уровне h = 20 см.
Вода течет в горизонтально расположенной трубе переменного сечения. Скорость воды в широкой части трубы
20 см/с. Определить скорость в узкой части трубы, диаметр которой в 1,5 раза меньше диаметра широкой части.
В широкой части горизонтально расположенной трубы нефть течет со скоростью
2 м/с. Определить скорость нефти в узкой части трубы, если разность давлений в широкой и узкой частях ее равна
6,65 кПа.
Струя воды диаметром
2 см, движущаяся со скоростью
10 м/с ударяется о неподвижную плоскую поверхность, поставленную перпендикулярно струе. Найти силу давления струи на поверхность, считая, что после удара о поверхность скорость частиц воды равна нулю.
Струя воды с площадью поперечного сечения S1 = 4 см2 вытекает в горизонтальном направлении из брандспойта, расположенного на расстоянии h = 2 м над поверхностью Земли, и падает на эту поверхность на расстоянии l = 8 м. Пренебрегая сопротивлением воздуха, найти избыточное давление воды в рукаве, если площадь поперечного сечения рукава S2 = 50 см2.
Из брандспойта бьет струя воды, дающая 60 л за 1 мин. Площадь отверстия в брандспойте S1 = 1,5 см2. На сколько больше атмосферного давления давление внутри шланга в том месте, которое на 3 м ниже конца брандспойта. Площадь канала шланга S2 = 10 см2.
В сосуд льется вода, причем за единицу времени наливается объем воды 0,2 л/с. Каким должен быть диаметр отверстия в дне сосуда, чтобы вода в нем держалась на постоянном уровне h = 8,3 см.
Какое давление создает компрессор в краскопульте, если струя жидкой краски вытекает из него со скоростью
25 м/с? Плотность краски
800 кг/м3.
Какую силу необходимо приложить к поршню горизонтально расположенной спринцовки, чтобы вытекающая из нее струя воды имела скорость
10 м/с? Радиус поршня r = 2 см. Трением пренебречь.
Определить скорость течения воды в широкой части горизонтально расположенной трубы переменного сечения, если радиус узкой части в 3 раза меньше радиуса широкой части, а разность давлений в широкой и узкой частях трубы
10 кПа.
Вода течет по круглой гладкой трубе диаметром d =5 см со средней по сечению скоростью
10 см/с. Определить число Рейнольдса для потока жидкости в трубе и указать характер течения жидкости.
По трубе течет машинное масло. Максимальная скорость, при которой движение масла в этой трубе остается еще ламинарным, равна
3,2 см/с. При какой скорости движение глицерина в той же трубе переходит из ламинарного в турбулентное?
Латунный шарик диаметром d = 0,5 мм падает в глицерине. Определить: а) скорость установившегося движения шарика; б) является ли при этом значении скорости обтекание шарика ламинарным?
Смесь свинцовых дробинок (плотность
11,3 г/см3) диаметром d1 = 4 мм и d2 = 2 мм одновременно опускают в широкий сосуд глубиной h = 1,5 м с глицерином (плотность
1,26 г/см3, коэффициент динамической вязкости
1,48 Па?с). Определить, на сколько больше времени потребуется дробинкам меньшего размера, чтобы достичь дна сосуда.
В широком сосуде, наполненном глицерином (плотность
1,26 г/см3, коэффициент динамической вязкости
1,48 Па?с), падает свинцовый шарик (плотность
11,3 г/см3). Считая, что при числе Рейнольдса Re<0,5 выполняется закон Стокса, определить предельный размер шарика.
Какой наибольшей скорости может достичь дождевая капля диаметром d = 0,3 мм, если коэффициент динамической вязкости воздуха
1,2?10-4 г/(см?с)?
При движении шарика радиусом r = 3 мм в глицерине ламинарное обтекание наблюдается при скорости шарика, не превышающей
23 см/с. При какой минимальной скорости шара радиусом r = 5,5 мм в воде обтекание примет турбулентный характер? Коэффициенты динамической вязкости глицерина и воды равны соответственно
1,48 Па?с и
10-3 Па?с.
Площадь соприкосновения слоев текущей жидкости S =10 см2, коэффициент динамической вязкости жидкости
10-3 Па?с, а возникающая сила трения между слоями F = 0,1 мН. Определить градиент скорости.
Вычислить максимальное значение скорости потока воды в трубе диаметром d1 = 2 см, при котором течение будет оставаться ламинарным. Критическое значение числа Рейнольдса для трубы приблизительно равно Re = 3000. Каково соответствующее значение скорости для трубки диаметром d2 = 0,1 см?
Медный шарик диаметром d = 1 см падает с постоянной скоростью в касторовом масле. Является ли движение масла, вызванное падением в нем шарика, ламинарным? Критическое значение числа Рейнольдса Re = 0,5.
Свинцовая проволока подвешена в вертикальном положении за верхний конец. Какую наибольшую длину может иметь проволока, не обрываясь под действием силы тяжести? Предел прочности свинца равен
12,3 МПа.

К вертикальной проволоке длиной l =5 м и площадью поперечного сечения S = 2 мм2 подвешен груз массой 5,1 кг. В результате проволока удлинилась на
0,6 мм. Найти модуль Юнга материала проволоки.
Какую работу нужно совершить, чтобы растянуть на
1 мм стальной стержень длиной l = 1 м и площадью поперечного сечения S = 1 см2?
Резиновый шнур растянут так, что его длина увеличилась в 2 раза. Каков диаметр растянутого шнура, если до растяжения он был d = 1 см, а коэффициент Пуассона для резины
0,5?
Определить относительное изменение объема стальной проволоки диаметром d =2 мм при растяжении ее силой F = 1 кН. Коэффициент Пуассона равен
0,3.
При какой длине подвешенная вертикально стальная проволока начинает рваться под действием собственного веса? Предел прочности стали
0,69 ГПа.
Определить относительное удлинение медного стержня, если при его растяжении затрачена работа А = 0,12 Дж. Длина стержня l = 2 м, площадь поперечного сечения S = 1 мм2.
Определить силу, с которой гимнаст массой m = 60 кг действует на упругую сетку при прыжке с высоты h = 8 м, если под действием веса гимнаста сетка прогибается на
16 см.
К проволоке из углеродистой стали длиной l = 1,5 м и диаметром d = 2,1 мм подвешен груз массой 110 кг. Принимая для стали модуль Юнга Е = 216 ГПа и предел пропорциональности равный
330 МПа, определить: а) какую долю первоначальной длины составляет удлинение проволоки при этом грузе; б) превышает приложенное напряжение или нет предел пропорциональности.
Определить относительное удлинение алюминиевого стержня, если при его растяжении затрачена работа А =6,9 Дж. Длина стержня l =1 м, площадь поперечного сечения S =1 мм2, модуль Юнга для алюминия Е =69 ГПа.
В баллоне объемом V =0,25 м3 находится смесь кислорода и гелия. Число молекул кислорода N1 =6,6?1021, а число молекул гелия N2 =0,9?1021. Температура смеси Т =620 К. Определить давление смеси Р.
В баллоне объемом V находится смесь кислорода и гелия. Число молекул кислорода N1, а число молекул гелия N2 =1,2?1021. Температура смеси Т =530 К, давление смеси Р =250 Па, среднее значение молярной массы смеси
22 кг/кмоль. Определить объем V.
В баллоне объемом V =0,15 м3 находится смесь кислорода и гелия. Число молекул кислорода N1 =5,1?1021, а число молекул гелия N2. Давление смеси Р =460 Па, среднее значение молярной массы смеси
13 кг/кмоль. Определить температуру смеси.
В сосуде объемом V =5,6 л находится смесь двух газов: газ с молярной массой
32 г/моль в количестве m1 =23 г и газ с молярной массой
4 г/моль в количестве m2 =15 г. Давление в сосуде равно Р =1,2 МПа. Определить температуру Т в сосуде.
В сосуде объемом V находится смесь двух газов: газ с молярной массой
2 г/моль в количестве m1 =1,1 г и газ с молярной массой
4 г/моль в количестве m2 =2,9 г. Давление в сосуде равно p =0,53 МПа. Температура смеси t =75 0C. Определить объем V сосуда.
В сосуде объемом V =1,5 л находится смесь двух газов: газ с молярной массой
28 г/моль в количестве m1 =0,15 г и газ с молярной массой
2 г/моль в количестве m2 =0,14 г. Температура смеси t = - 15 0C. Определить давление p смеси.
В цилиндре под невесомым поршнем находился воздух в объеме V1 =2,4 л при температуре t1 =26 0C и атмосферном давлении p1 =730 мм. рт. ст. После погружения цилиндра в воду с температурой t2 =12 0C на глубину h объем воздуха уменьшился до V2 =1,9 л. Определить глубину h.
В цилиндре под невесомым поршнем находился воздух в объеме V1 =6,1 л при температуре t1 =57 0C и атмосферном давлении p1 =750 мм. рт. ст. После погружения цилиндра в воду с температурой t2 на глубину h =5 м объем воздуха уменьшился до V2 =3,5 л. Определить температуру t2.
В цилиндре под невесомым поршнем находился воздух в объеме V1 при температуре t1 =77 0C и атмосферном давлении p1 =570 мм. рт. ст. После погружения цилиндра в воду с температурой t2 =15 0C на глубину h =8,5 м объем воздуха уменьшился до V2 =1,7 л. Определить объем V1.
Два сосуда соединены трубкой с краном. В одном находится кислород массой m1 =1,8 кг под давлением p1 =250 кПа, а в другом - углекислый газ массой m2 =4,3 кг под давлением p2 =720 кПа. После открывания крана и перемещения газов давление смеси стало равным p. Температура газов до и после перемешивания одинакова. Определить давление p.
Два сосуда соединены трубкой с краном. В одном находится кислород массой m1 =4,9 кг под давлением p1 =210 кПа, а в другом - углекислый газ массой m2 под давлением p2 =540 кПа. После открывания крана и перемещения газов давление смеси стало равным p =430 кПа. Температура газов до и после перемешивания одинакова. Определить массу m2.
Из баллона объемом V =60 л, содержащего сжатый воздух при давлении p1 =7,5 МПа и температуре t1, постепенно выпускают массу воздуха m =2,6 кг. После закрытия крана давление воздуха в баллоне p2 =3,5 МПа, температура t2 = -25 0C. Определить температуру t1.
Из баллона объемом V =25 л, содержащего сжатый воздух при давлении p1 =3,9 МПа и температуре t1 =35 0C, постепенно выпускают массу воздуха m =0,48 кг. После закрытия крана давление воздуха в баллоне p2, температура t2 = -15 0C. Определить давление p2.
Из баллона объемом V =50 л, содержащего азот при температуре t1 =27 0C, выпускается часть газа столь быстро, что теплообмен газа в баллоне с атмосферой за время выпуска не успевает произойти. Сразу после закрытия крана температура газа в баллоне t2 = 0 0C, давление p2 =8,6 МПа. Определить массу выпущенного азота.
Из баллона объемом V =60 л, содержащего азот при температуре t1, выпускается часть газа столь быстро, что теплообмен газа в баллоне с атмосферой за время выпуска не успевает произойти. Сразу после закрытия крана температура газа в баллоне t2 = -15 0C, давление p2 =3,7 МПа. Масса выпущенного азота m =1,12 кг. Определить температуру t1.
Цикл, совершаемый одним киломолем идеального двухатомного газа, состоит из двух изохор и двух изобар. Совершаемая газом за цикл работа равна А =32 кДж, количество полученного за цикл тепла Q. Минимальные значения объёма и давления равны p1 =170 кПа, V1= 0,25 м3, максимальные - V2= 0,85 м3 и p2. Определить количество теплоты Q.
Цикл, совершаемый одним киломолем идеального двухатомного газа, состоит из двух изохор и двух изобар. Совершаемая газом за цикл работа равна А, количество полученного за цикл тепла Q. Минимальные значения объёма и давления равны V1 =0,075 м3, p1 =330 кПа, максимальные - V2 =0,135 м3, p2 =460 кПа. Определить работу А.
Некоторая масса газа с двухатомными молекулами при давлении p1 =140 кПа имела объём V1 =0,95 м3, а при давлении p2 =330 кПа – объём V2 =0,44 м3. Переход от первого состояния ко второму был сделан в два этапа: сначала по изобаре, а затем по адиабате. Количество поглощенного газом тепла Q, работа газа А. Определить приращение внутренней энергии ?U.
Некоторая масса газа с двухатомными молекулами при давлении p1 =1300 кПа имела объём V1 =1,35 м3, а при давлении p2 =850 кПа – объём V2 =1,47 м3. Переход от первого состояния ко второму был сделан в два этапа: сначала по изобаре, а затем по адиабате. Количество поглощенного газом тепла Q, приращениевнутренней энергии ?U. Определить работу газа А.
Некоторая масса газа с двухатомными молекулами при давлении p1 =710 кПа имела объём V1 =0,94 м3, а при давлении p2 =320 кПа – объём V2 =0,82 м3. Переход от первого состояния ко второму был сделан в два этапа: сначала по изобаре, а затем по адиабате.При этом приращение внутренней энергии ?U, работа газа А. Определить количество поглощённого тепла Q.
Двухатомный газ при давлении p1 =270 кПа имел объём V1 =0,14 м3, при давлении p2 =320 кПа – объём V2 =0,11 м3. Переход от первого состояния ко второму был сделан в два этапа: сначала по изотерме, а затем по изохоре.Приращение внутренней энергии ?U, работа газа А. Определить количество поглощенного газом тепла Q.
Двухатомный газ при давлении p1 =440 кПа имел объём V1 =0,83 м3, при давлении p2 =120 кПа – объём V2 =0,39 м3. Переход от первого состояния ко второму был сделан в два этапа: сначала по изотерме, а затем по изохоре. Количество поглощенного газом тепла Q, работа газа А. Определить приращение внутренней энергии ?U.
Двухатомный газ при давлении p1 =1200 кПа имел объём V1 =0,18 м3, при давлении p2 =850 кПа – объём V2 =0,42 м3. Переход от первого состояния ко второму был сделан в два этапа: сначала по изотерме, а затем по изохоре. Количество поглощенного газом тепла Q, приращение внутренней энергии ?U. Определитьработу газа А.
Водород находился при p1 =1750 кПа в объеме V1 =0,33 м3, а при изменении объёма до V2 =0,68 м3 давление его стало равным p2 =250 кПа. Переход от первого состояния ко второму был сделан в два этапа: сначала по изохоре, а затем по адиабате. Приращение внутренней энергии ?U, работа газа А. Определить количество поглощенного тепла Q.
Водород находился при p1 =320 кПа в объеме V1 =1,75 м3, а при изменении объёма до V2 =0,95 м3 давление его стало равным p2 =450 кПа. Переход от первого состояния ко второму был сделан в два этапа: сначала по изохоре, а затем по адиабате. Количество поглощенного газом тепла Q, приращение внутренней энергии ?U. Определитьработу газа А.
Водород находился при p1 =260 кПа в объеме V1 =0,47 м3, а при изменении объёма до V2 =0,24 м3 давление его стало равным p2 =150 кПа. Переход от первого состояния ко второму был сделан в два этапа: сначала по изохоре, а затем по адиабате. Количество поглощенного газом тепла Q, работа газа А. Определить приращение внутренней энергии ?U.
Кислород массой m =2 кг занимает объём V1 =1 м3 и находится под давлением p1 =0,2 МПа. Газ был нагрет сначала при постоянном давлении до объёма V2 =3 м3, а затем при постоянном объёме до давления p1 =0,5 МПа. Найти изменение внутренней энергии газа ?U, совершенную работу А и теплоту Q, переданную газу. Построить график процесса.
В цилиндре под поршнем находится водород m =0,02 кг при температуре 300 К. Водород сначала расширился адиабатически, увеличив свой объём в пять раз, а затем был сжат изотермически, причем объём газа уменьшился в пять раз. Найти температуру в конце адиабатического расширения и полную работу, совершенную газом. Изобразить процесс графически.
Найти изменение энтропии при нагревании 100 г воды от 0 ° С до 100 °С и последующем превращении воды в пар той же температуры.
Кислород массой 5 кг увеличил свой объём в 5 раз, один раз – изотермически, другой – адиабатически. Каково будет изменение энтропии в двух этих случаях?
Кусок льда массой 200 г, взятый при температуре – 10 °С, был нагрет до 0 °С и расплавлен, после чего образовавшаяся вода была нагрета до температуры 10 °С. Определить изменение энтропии льда.
Газ, совершающий цикл Карно, получает теплоту 84 кДж. Какую работу совершает газ, если температура нагревателя в три раза выше температуры охладителя?
Газ, совершающий цикл Карно, отдал охладителю теплоту 14 кДж. Определить температуру нагревателя, если при температуре охладителя 280 К работа цикла равна 6 кДж.
При прямом цикле Карно тепловая машина совершает работу 1000 Дж. Температура нагревателя 500 К, температура холодильника 300 К. Определить количество теплоты, получаемой машиной от нагревателя.
Идеальный газ совершает цикл Карно при температурах нагревателя 400 К и холодильника 290 К. Во сколько раз увеличится коэффициент полезного действия цикла, если температура нагревателя возрастет до 600 К?
Идеальный газ совершает цикл Карно. Температура нагревателя в четыре раза больше температуры холодильника. Какую долю количества теплоты, полученного за один цикл от нагревателя, газ отдаст холодильнику?
Определить работу изотермического сжатия газа, совершающего цикл Карно, коэффициент полезного действия которого η =0,4, если работа изотермического расширения составляет 8 Дж.
Газ, совершающий цикл Карно, отдал холодильнику 67% теплоты, полученной от нагревателя. Определить температуру холодильника, если температура нагревателя 430 К.
Газ, совершающий цикл Карно, получил от нагревателя количество теплоты равное 4,38 кДж и совершил работу 2,4 кДж. Определить температуру нагревателя, если температура холодильника 273 К.
Газ, совершающий цикл Карно, получил от нагревателя количество теплоты равное 84 кДж. Определить работу газа, если температура нагревателя в три раза больше температуры холодильника.
В цикле Карно газ получил от нагревателя количество теплоты равное 500 Дж и совершил работу 100 Дж. Температура нагревателя 400 К. Определить температуру холодильника.
Равные массы кислорода и водорода одинаково изотермически сжимают. Для какого газа изменение энтропии будет больше и во сколько раз?
Смешивают 4 кг воды при 80 °C и 6 кг воды при 20 °C. Определить изменение энтропии при этом процессе.
Струя водяного пара при температуре100 °C, направлена на глыбу льда массой 4 кг при температуре -20 °C, растопила её и нагрела получившуюся воду до 60 °C. Найти изменение энтропии этом процессе.
Один килограмм кислорода при давлении 0,5 МПа и температуре 127 °C, изобарически расширяясь, увеличивает свой объем в 2 раза, а затем сжимается изотермически до давления 4 МПа. Определить суммарное изменение энтропии.
Определить изменение энтропии 14 г азота при изобарном нагревании его от 27 °C до 127 °C.
Как изменится энтропия 2 молей углекислого газа при изотермическом расширении, если объём газа увеличивается в четыре раза.
Найти изменение энтропии при плавлении 2 кг свинца и дальнейшем его охлаждении от 327 °C до 0 °C.
Определить изменение энтропии, происходящее при смешивании 2 кг воды, находящихся при температуре 300 К, и 4 кг воды при температуре 370 °C.
Лед массой 1 кг, находящийся при температуре 0 °C, нагревают до температуры 57 °C. Определить изменение энтропии.