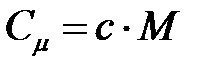
· Связь между молярной (
) и удельной (с) теплоемкостями газа
,
где М — молярная масса газа.
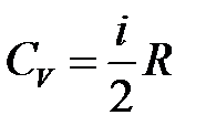
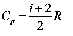
· Молярные теплоемкости при постоянном объеме и постоянном давлении соответственно равны (в целях упрощения записи в индексах обозначений молярной теплоемкости при постоянном давлении и постоянном объеме букву «
» будем опускать)
;
,
где
для газа одноатомных молекул,
для газа двухатомных молекул,
для газа трех- и более атомных молекул.
· Уравнение Майера
.
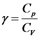
· Показатель адиабаты
.
· Внутренняя энергия идеального газа
,
где
— количество вещества.
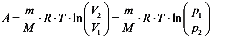
· Работа, связанная с изменением объема газа, в общем случае вычисляется по формуле
,
где V 1 — начальный объем газа; V 2 — его конечный объем.
Работа газа:
а) при изобарном процессе (p =const)
;
б) при изотермическом процессе (T =const)
;
в) при адиабатном процессе
, или
,
где T 1 — начальная температура газа; T 2 — его конечная температура.
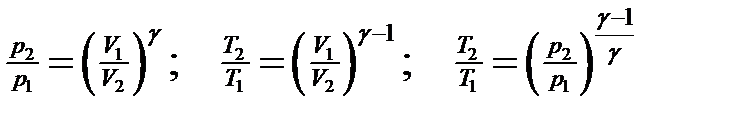
· Уравнение Пуассона (уравнение газового состояния при адиабатном процессе)
.
· Связь между начальным и конечным значениями параметров состояний газа при адиабатном процессе:
.
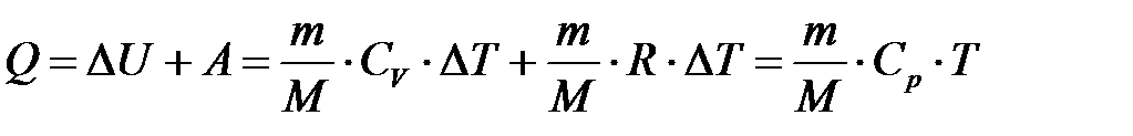
· Первое начало термодинамики в общем случае записывается в виде
Q=DU+A,
где Q – количество теплоты, сообщённое газу; DU —изменение его внутренней энергии; А — работа, совершаемая газом против внешних сил.
а) при изобарном процессе

б) при изохорном процессе (A =0)
;
в) при изотермическом процессе (D U =0)
,
г) при адиабатном процессе (Q =0)
.
· Термический коэффициент полезного действия (КПД) цикла в общем случае
,
где Q 1 – количество теплоты, полученное рабочим телом (газом) от нагревателя; Q 2 – количество теплоты, переданное рабочим телом охладителю.
КПД цикла Карно
, или
,
где T 1 — температура нагревателя; T 2 — температура охладителя.
· Изменение энтропии

где A и B — пределы интегрирования, соответствующие начальному и конечному состояниям системы. Так как процесс равновесный,то интегрирование проводится по любому пути.






