• Уравнение гармонических колебаний:

где х — смещение колеблющейся точки от положения равновесия;
t — время; А, ω, φ — соответственно амплитуда, угловая частота,
начальная фаза колебаний;
— фаза колебаний в момент t.
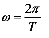
• Угловая частота колебаний:
, или
,
где ν и Т — частота и период колебаний.
• Скорость точки, совершающей гармонические колебания:
.
• Ускорение при гармоническом колебании
.
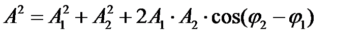
• Амплитуда А результирующего колебания, полученного при сложении двух колебаний с одинаковыми частотами, происходящих по одной прямой, определяется по формуле:

где А 1и А 2 — амплитуды составляющих колебаний; φ 1 и φ 2— их начальные фазы.
• Начальная фаза φ результирующего колебания может быть найдена из формулы:
.
• Частота биений, возникающих при сложении двух колебаний, происходящих по одной прямой с различными, но близкими по значению частотами ν 1 и ν 2,
.
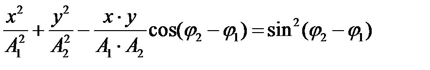
• Уравнение траектории точки, участвующей в двух взаимно перпендикулярных колебаниях с амплитудами A 1 и A 2 и начальными фазами φ 1 и φ 2:
.
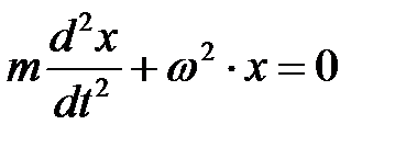
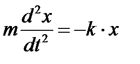
• Дифференциальное уравнение гармонических колебаний материальной точки:
, или
,
где m — масса точки; k — коэффициент квазиупругой силы (
).
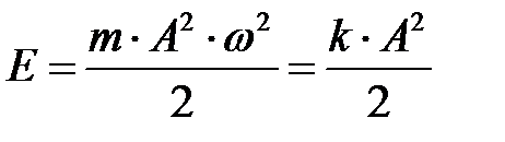
• Полная энергия материальной точки, совершающей гармонические колебания:
.
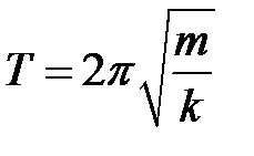
• Период колебаний тела, подвешенного на пружине (пружинный маятник):
,
где m — масса тела; k — жесткость пружины. Формула справедлива для упругих колебаний в пределах, в которых выполняется закон Гука (при малой массе пружины в сравнении с массой тела).
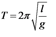
Период колебаний математического маятника
,
где l — длина маятника; g — ускорение свободного падения.
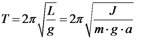
Период колебаний физического маятника
,
где J — момент инерции колеблющегося тела относительно осиколебаний; а — расстояние центра масс маятника от оси колебаний;
— приведенная длина физического маятника.
Приведенные формулы являются точными для случая бесконечно малых амплитуд. При конечных амплитудах эти формулы дают лишь приближенные результаты. При амплитудах не более
ошибка в значении периода не превышает 1 %.
Период крутильных колебаний тела, подвешенного на упругой нити:
,
где J — момент инерции тела относительно оси, совпадающей с упругой нитью; K — жесткость упругой нити, равная отношению упругого момента, возникающего при закручивании нити, к углу, на который нить закручивается.
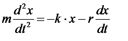
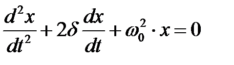
• Дифференциальное уравнение затухающих колебаний
или
,
где r — коэффициент сопротивления; δ — коэффициент затухания:
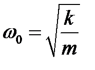
; ω 0— собственная угловая частота колебаний
.
• Уравнение затухающих колебаний:

где A(t) — амплитуда затухающих колебаний в момент t; ω — их угловая частота.
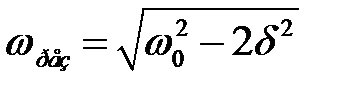
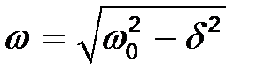
• Угловая частота затухающих колебаний:
.
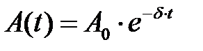
• Зависимость амплитуды затухающих колебаний от времени
,
где А 0 — амплитуда колебаний в момент t =0.
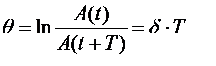
• Логарифмический декремент колебаний:
,
где A(t) и A(t+T) — амплитуды двух последовательных колебаний, отстоящих по времени друг от друга на период.
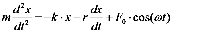
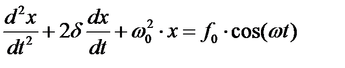
• Дифференциальное уравнение вынужденных колебаний
или
,
где
— внешняя периодическая сила, действующая наколеблющуюся материальную точку и вызывающая вынужденныеколебания; F0 — ее амплитудное значение;
.
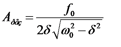
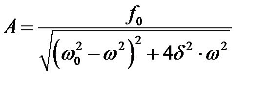
• Амплитуда вынужденных колебаний:
.
• Резонансная частота и резонансная амплитуда:
и
.






