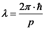
· Формула де Бройля, выражающая связь длины волн с импульсом р движущейся частицы, для двух случаев:
а) в классическом приближении (υ << c; p= m∙υ)

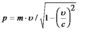
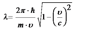
б) в релятивистском случае (скорость и частицы сравнима со скоростью с света в вакууме; 

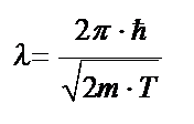
· Связь длины волны де Бройля с кинетической энергией Т частицы:
а) в классическом приближении 
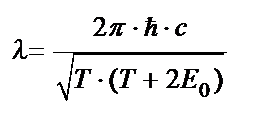
б) в релятивистском случае
, где E 0 — энергияпокоя частицы.
· Фазовая скорость волн де Бройля
υ = w/ k
где w — круговая частота; k — волновое число (k = 2p/l).
· Групповая скорость волн де Бройля
.
· Соотношения де Бройля:
E=ħ∙w,p = ħ∙k,
где Е — энергия движущейся частицы; р — импульс частицы; k — волновой вектор;
ħ - постоянная Планка (ħ =h/ (2p) =1,05∙10-34 Дж∙с).
· Соотношения неопределенностей:
а) для координаты и импульса частицы D p∙ D x≥ħ где D p x — неопределенность проекции импульса частицы на ось х; D x — неопределенность ее координаты;
б) для энергии и времени D E∙ D t ≥ ħ, где D E — неопределенность энергии данного квантового состояния; D t — время пребывания системы в этом состоянии.






