• Момент импульса электрона на стационарных орбитах
L=m∙υ∙r = n∙ħ (n=1,2,3,…),
где т — масса электрона; r — радиус орбиты; υ — скорость электрона на орбите; п — главное квантовое число; ħ — постоянная Планка.
• Энергия электрона, находящегося на n-й орбите, 
,
где ε 0 — электрическая постоянная.
• Сериальная формула, определяющая длину волны λ или частоту υ света, излучаемого или поглощаемого атомом водорода при переходе из одного стационарного состояния в другое,
,
,
где R' и R —постоянная Ридберга (R' =1,097∙107 м-1; R=c∙R' =3,29∙1015 с-1); m и n — целые числа; n — номер серии спектральных линий (n =l — серия Лаймана, n= 2 — серия Бальмера, n =3 — серия Пашена и т. д.). Для данной серии n = m +l, m + 2, m +3 и т. д.
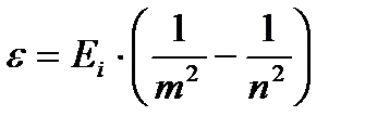
• Энергия фотона, испускаемого атомом водорода при переходе из одного
стационарного состояния в другое,
,
где Ei — энергия ионизации водорода: E i=2π∙ h∙ħ∙R =13,6 эВ.






