
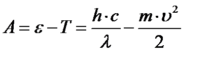
Пример 1. На толстую стеклянную пластинку, покрытую очень тонкой пленкой, показатель преломления n2 вещества которой равен 1,4, падает нормально параллельный пучок монохроматического света (λ = 0,6 мкм). Отраженный свет максимально ослаблен вследствие интерференции. Определить толщину d пленки.
Рис. 73
Решение. Из световой волны, падающей на пленку, выделим узкий пучок SA. Ход этого пучка в случае, когда угол падения ε1
0, показан на рис. 73. В точках A и В падающий пучок частично отражается и частично преломляется. Отраженные пучки света AS1 и BCS1 падают на собирающую линзу L, пересекаются в ее фокусе F и интерферируют между собой.
Так как показатель преломления воздуха (n 1 = 1,00029) меньше показателя преломления вещества пленки (n 2 = 1,4), который, в свою очередь, меньше показателя преломления стекла (n 3 = 1,5), то в обоих случаях отражение происходит от среды оптически более плотной, чем та среда, в которой идет падающая волна.
Поэтому фаза колебания пучка света AS1 при отражении в точке A изменяется на π рад и точно так же на π рад изменяется фаза колебаний пучка света BCS2 при отражении в точке В. Следовательно, результат интерференции этих пучков света при пересечении в фокусе F линзы будет такой же, как если бы никакого изменения фазы колебаний ни у того, ни у другого пучка не было.
|
|
|
Как известно, условие максимального ослабления света при интерференции в тонких пленках состоит в том, что оптическая разность хода Δ интерферирующих волн должна быть равна нечетному числу полуволн: Δ = (2 k +1) (λ /2).
Как видно из рис. 2, оптическая разность хода
p > Δ = l2n2 — l1n1 = (|АВ| + |ВС|) n2 — |AD| n1.
Следовательно, условие минимума интенсивность света примет вид
(| АВ | + | ВС |) п2 — |AD | n1 = (2 k +1)(λ /2).
Если угол падения ε1 будет уменьшаться, стремясь к нулю, то AD
0 и (| АВ| + |ВС|
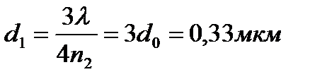
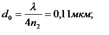
2d, где d — толщина пленки. В пределе при ε 1 = 0 будем иметь
Δ = 2 dn2 = (2 k +1)(λ /2),
откуда искомая толщина пленки
.
Полагая k = 0,1,2,3,…, получим ряд возможных значений толщины пленки:
и т.д.
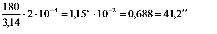
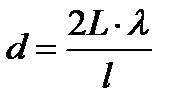
Пример 2. На стеклянный клин нормально к его грани падает монохроматический свет с длиной волны λ = 0,6 мкм. В возникшей при этом интерференционной картине на отрезке длиной l = 1 см наблюдается 10 полос. Определить преломляющий угол θ клина.
Решение. Параллельный пучок света, падая нормально к грани клина, отражается как от верхней, так и от нижней грани. Эти пучки когерентны, и поэтому наблюдается устойчивая картина интерференции. Так как интерференционные полосы наблюдаются при малых углах клина, то отраженные пучки света 1 и 2 (рис. 74) будут практически параллельны.
|
|
|
Темные полосы видны на тех участках клина, для которых разность хода кратна нечетному числу половины длины волны;
Δ = (2k + 1) (λ/2), (1)
где k = 0,1,2,….
Разность хода Δ двух волн складывается из разности оптических длин путей этих волн (2 dn cos ε 2) и половины длины волны (λ/2).

Рис. 74
Величина λ /2 представляет собой добавочную разность хода, возникающую при отражении волны от оптически более плотной среды. Подставляя в формулу (1) значение разности хода Δ, получим
2 dkn cos ε 2+ λ /2 = ( 2 k + 1)(λ/ 2), (2)
где п — коэффициент преломления стекла (n = l,5); dk — толщина клина в том месте, где наблюдается темная полоса, соответствующая номеру k; ε2— угол преломления.
Согласно условию, угол падения равен нулю, следовательно, и угол преломления ε2’ равен нулю, acos ε 2 = 1. Раскрыв скобки в правой части равенства (2), после упрощения получим
2dkn = kλ (3)
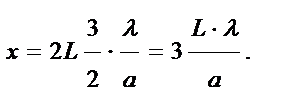
Пусть произвольной темной полосе номера k соответствует определенная толщина клина в этом месте dk а темной полосе номера k + 10 соответствует толщина клина dk+10. Согласно условию задачи, 10 полос укладываются на отрезке длиной l = 1 см. Тогда искомый угол (рис. 3) будет равен
θ = (dk+10 – dk)/l, (4)
где из-за малости преломляющего угла sin θ = θ (угол θ выражен в радианах).
Вычислив dk и dk+10 из формулы (3), подставив их в формулу (4) и произведя преобразования, найдем
θ = 5λ/(n?l).
После вычисления получим
θ = 210-4 paд.
Выразим θ в градусах. Для этого воспользуемся соотношением между радианом и секундой (см. табл. 6); 1 рад = 2,06"?105, т. е.
θ = 210-42,06''105 = 41,2'',
или в соответствии с общим правилом перевода из радиан в градусы
θград =
θрад, θ =
.
Искомый угол равен 41,2".
Пример 3. На диафрагму с круглым отверстием радиусом r = 1 мм падает нормально параллельный пучок света длиной волны λ = 0,05 мкм. На пути лучей, прошедших через отверстие, помещают экран. Определить максимальное расстояние bmax от центра отверстия до экрана, при котором в центре дифракционной картины еще будет наблюдаться темное пятно.
Решение. Расстояние, при котором будет видно темное пятно, определяется числом зон Френеля, укладывающихся в отверстии. Если число зон четное, то в центре дифракционной картины будет темное пятно.
Число зон Френеля, помещающихся в отверстии, убывает по мере удаления экрана от отверстия. Наименьшее четное число зон равно двум. Следовательно, максимальное расстояние, при котором еще будет наблюдаться темное
Рис. 75
пятнов центре экрана, определяется условием, согласно которому в отверстии должны поместиться две зоны Френеля.
Из рис. 75 следует, что расстояние от точки наблюдения O на экране до края отверстия на 2 (λ /2) больше, чем расстояние bmax.
По теореме Пифагора получим
.
Учтя, что λ<< bmах и что членом, содержащим λ2, можно пренебречь, последнее равенство перепишем в виде
r2 = 2 λ?bmax. откуда bmax = r 2/(2 λ). Произведя вычисления по последней формуле, найдем
b max = 1 м.
Пример 4. На щель шириной а = 0,1 мм нормально падает параллельный пучок света от монохроматического источника (λ = 0,6 мкм). Определить ширину l центрального максимума в дифракционной картине, проецируемой с помощью линзы, находящейся непосредственно за щелью, на экран, отстоящий от линзы на расстоянии L = l м.
Решение. Центральный максимум интенсивности света занимает область между ближайшими от него справа и слева минимумами интенсивности. Поэтому ширину центрального максимума интенсивности примем равной расстоянию между этими двумя минимумами интенсивности (рис. 76).
Минимумы интенсивности света при дифракции от одной щели наблюдаются под углами φ, определяемыми условием
a sinφ = ± k?λ, (1)
|
|
|
где k — порядок минимума; в нашем случае равен единице.
Расстояние между двумя минимумами на экране определим непосредственно по чертежу: l = 2L tg φ. Заметив, что при малых углах tg φ
sin φ, перепишем эту формулу в виде
Рис. 76

l = 2 L sin φ. (2)
Выразим sin φ из формулы (1) и подставим его в равенство (2):
l = 2 Lk?λ/a. (3)
Произведя вычисления по формуле (3), получим l = 1,2 см.
Пример 5. На дифракционную решетку нормально к ее поверхности падает параллельный пучок света с длиной волны λ = 0,5мкм. Помещенная вблизи решетки линза проецирует дифракционную картину на плоский экран, удаленный от линзы на L = l м. Расстояние l между двумя максимумами интенсивности первого порядка, наблюдаемыми на экране, равно 20,2 см (рис. 6).
Определить:
1) постоянную d дифракционной решетки;
2) число n штрихов на 1 см;
3) число максимумов, которое при этом дает дифракционная решетка;
4) максимальный угол φ mах отклонения лучей, соответствующих последнему дифракционному максимуму.
Решение 1. Постоянная d дифракционной решетки, длина волны λ и угол φ отклонения лучей, соответствующий k-му дифракционному максимуму, связаны соотношением

d sin φ = kλ, (1)
где k — порядок спектра, или в случае монохроматического света порядок максимума.
В данном случае k = 1, sin φ = tg φ (ввиду того, что l /2<< L), tg φ = (l /2) L (следует из рис. 77). С учетом последних трех равенств соотношение (1) примет вид
Рис. 77
,
откуда постоянная решетки
l.
Подставляя данные, получим
d = 4,95 мкм.
2. Число штрихов на 1 см найдем из формулы
п = 1/ d.
После подстановки числовых значений получим
n = 2,02-103 см-1.
3. Для определения числа максимумов, даваемых дифракционной решеткой, вычислим сначала максимальное значение kmax исходя из того, что максимальный угол отклонения лучей решеткой не может превышать 90°.
Из формулы (1) запишем
. (2)
Подставляя сюда значения величин, получим
kmax = 9,9.
Число k обязательно должно быть целым. В то же время оно не может принять значение, равное 10, так как при этом значении sin φ должен быть больше единицы, что невозможно. Следовательно, kmах =9.
|
|
|
Определим общее число максимумов дифракционной картины, полученной посредством дифракционной решетки. Влево и вправо от центрального максимума будет наблюдаться по одинаковому числу максимумов, равному kmах, т. е. всего 2 kmах. Если учесть также центральный нулевой максимум, получим общее число максимумов
N = 2 kmax + l.
Подставляя значение kmах найдем
N = 29 + 1 = 19.
4. Для определения максимального угла отклонения лучей, соответствующего последнему дифракционному максимуму, выразим из соотношения (2) синус этого угла:
sin φ max = kmaxλ / d.
Отсюда
φ max = arcsin (kmaxλ / d).
Подставив сюда значения величин λ, d,kmах и произведя вычисления, получим
φmах = 65,4°.
Пример 6. Исследование спектра излучения Солнца показывает, что максимум спектральной плотности энергетической светимости соответствует длине волны λ = 500 нм Принимая Солнце за черное тело, определить.
1) энергетическую светимость R e Солнца;
2) поток энергии Фе, излучаемый Солнцем;
3) массу т электромагнитных волн (всех длин), излучаемых Солнцем за 1 с.
Решение: 1. Энергетическая светимость Me черного тела выражается формулой Стефана — Больцмана
Re=s?T4 (1)
Температура излучающей поверхности может быть определена из закона смещения Вина. λm = b/T. Выразив отсюда температуру Т и подставив ее в формулу (1), получим
Re = s(bλm)4, (2)
Произведя вычисления по формуле (2), найдем
Re = 64 МВт/м2.
2. Поток энергии Ф е, излучаемый Солнцем, равен произведению энергетической светимости Солнца на площадь S его поверхности.
Ф е = 4π r 2 R e, (3)
где r — радиус Солнца
Подставив в формулу (3) значения π, r и Re и произведя вычисления, получим
Ф е = 3,91026 Вт.
3. Массу электромагнитных волн (всех длин), излучаемых Солнцем за время t = 1с, определим, применив закон пропорциональности массы и энергии Е = тс2. Энергия электромагнитных волн, излучаемых за время t, равна произведению потока энергии Ф (мощности излучения) на время Е = Фt. Следовательно, Ф е = тс2, откуда т = Ф е /с 2
Произведя вычисления по этой формуле, найдем
m = 4,3109 кг.
Пример 7. Длина волны λm, на которую приходится максимум энергии в спектре излучения черного тела, равна 0,58 мкм. Определить максимальную спектральную плотность энергетической светимости (rλ,T)max, рассчитанную на интервал длин волн λ = 1нм, вблизи λ m.
Решение. Максимальная спектральная плотность энергетической светимости пропорциональна пятой степени температуры Кельвина и выражается формулой
(rλ,T) max = С?Т5. (1)
Температуру Т выразим из закона смещения Вина λm = b/Т, откуда Т = b/λт
Подставив полученное выражение температуры в формулу (1), найдем
(rλ,T) max = C (b/λm)5, (2)
Вычисление по формуле (2) дает
(rλ,T)max = 40,6 кВт/(мнм).
Пример 8. Определить максимальную скорость vmax фотоэлектронов, вырываемых с поверхности серебра: 1) ультрафиолетовым излучением с длиной волны λ 1 = 0,155 мкм; 2) γ-излучением с длиной волны λ 2 = 2,47 пм.
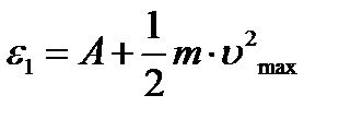
Решение. Максимальную скорость фотоэлектронов определим из уравнения Эйнштейна для фотоэффекта:
ε = A + T max (1)
Энергия фотона вычисляется по формуле ε = hc/λ, работа выхода для серебра A = 4,7 эВ.
Кинетическая энергия фотоэлектрона в зависимости от того, какая скорость ему сообщается, может быть выражена или по классической формуле
(2)
или по релятивистской
Скорость фотоэлектрона зависит от энергии фотона, вызывающего фотоэффект: если энергия фотона ε много меньше энергии покоя электрона Е0 , то может быть применена формула (2); если же ε сравнима по размеру с Е0 , то вычисление по формуле (2) приводит к грубой ошибке, в этом случае кинетическую энергию фотоэлектрона необходимо выражать по формуле (3)
1. В формулу энергии фотона ε = hc/λ подставим значения величин h, с и λ и, произведя вычисления, для ультрафиолетового излучения получим
ε1 = 8 эВ.
Это значение энергии фотона много меньше энергии покоя электрона (0,51 МэВ). Следовательно, для данного случая максимальная кинетическая энергия фотоэлектрона в формуле (1) может быть выражена
по классической формуле (2)
, откуда
(4)
Выпишем величины, входящие в формулу (4): ε 1 = 1,28×10-18Дж;
A = 4,7 эВ = 4,7 × 1,6?10-19 Дж = 0,7510-18 Дж; m = 9,11×10-31 кг.
Подставив числовые значения в формулу (4), найдем максимальную скорость:
υ max = 1,08 Мм/с.
2. Вычислим теперь энергию фотона γ-излучения:
ε 2 = hc/λ 2 = 8,04 фДж = 0,502 МэВ.
Работа выхода электрона (A = 4,7 эВ) пренебрежимо мала по сравнению с энергией γ-фотона, поэтому можно принять, что максимальная кинетическая энергия электрона равна энергии фотона:
T max = ε 2 = 0,502 МэВ.
Так как в данном случае кинетическая энергия электрона сравнима с его энергией покоя, то для вычисления скорости электрона следует взять релятивистскую формулу кинетической энергии,
где E 0 = m?c 2.
Выполнив преобразования, найдем
Сделав вычисления, получим
β = 0,755.
Следовательно, максимальная скорость фотоэлектронов, вырываемых γ-излучением,
υ max = cβ = 226 Mм/c.
Пример 9. Определить красную границу λ 0 фотоэффекта для цезия, если при облучении его поверхности фиолетовым светом длиной волны λ = 400 нм максимальная скорость υ max фотоэлектронов равна 0,65 Мм/с.
Решение. При облучении светом, длина волны λ 0 которого соответствует красной границе фотоэффекта, скорость, а следовательно, и кинетическая энергия фотоэлектронов равны нулю. Поэтому уравнение Эйнштейна для фотоэффекта ε = A + T в случае красной границы запишется в виде
ε = A, или hc/λ 0 = A.
Отсюда
λ 0 = hc/A. (1)
Работу выхода для цезия определим с помощью уравнения Эйнштейна:
(2)
Выпишем числовые значения величин, выразив их в СИ: h = 6,6210-34 Джс; с = 3?108 м/с; λ = 400 нм = 410-7 м; m = 9,1110-31 кг; υ = 6,5105 м/с.
Подставив эти значения величин в формулу (2) и вычислив, получим
A = 3,05×10-19 Дж = 1,9 эВ.
Для определения красной границы фотоэффекта подставим значения A, h и с в формулу (1) и вычислим:
λ 0 = 651 нм.
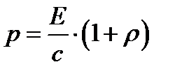
Пример 10. Пучок монохроматического света с длиной волны λ = 663 нм падает нормально на зеркальную плоскую поверхность Поток энергии Ф е = 0,6 Вт. Определить силу F давления, испытываемую этой поверхностью, а также число N фотонов, падающих на нее за время t = 5 с
Решение Сила светового давления на поверхность равна произведению светового давления р на площадь S поверхности:
F = pS. (1)
Световое давление может быть найдено по формуле
. (2)
Подставляя выражение (2) дaвлeния света в формулу (1), получим
. (3)
Так как произведение облученности E на площадь S поверхности равно потоку Ф е энергии излучения, падающего на поверхность, то соотношение (3) можно записать в виде
.
После подстановки значений Ф е и с с учетом, что ρ = 1 (поверхность зеркальная), получим
F = 4 нН.
Число N фотонов, падающих за время t на поверхность, определяется по формуле
N = W / ε = Ф е t / ε,
где W — энергия излучения, получаемая поверхностью за время t
Выразив в этой формуле энергию фотона через длину волны (ε = hc/λ), получим
N = Феλt/ (hc).
Подставив в этой формуле числовые значения величин, найдем
N = 1019 фотонов.
Пример 11. Параллельный пучок света длиной волны λ = 500 нм падает нормально на зачерненную поверхность, производя давление p = 10 мкПа. Определить: 1) концентрацию п фотонов в пучке, 2) число n1 фотонов, падающих на поверхность площадью 1 м2 за время 1 с.
Решение. 1. Концентрация п фотонов в пучке может быть найдена, как частное от деления объемной плотности энергии w на энергию ε одного фотона:
n=w/ε (1)
Из формулы
, определяющей давление света, где ρ-коэффициент отражения, найдем
. (2)
Подставив выражение для w из уравнения (2) в формулу (1), получим
. (3)
Энергия фотона зависит от частоты υ, а следовательно, и от длины световой волны λ:
ε = hν = hc/λ. (4)
Подставив выражение для энергии фотона в формулу (3), определим искомую концентрацию фотонов:
. (5)
Коэффициент отражения ρ для зачерненной поверхности принимаем равным нулю.
Подставив числовые значения в формулу (5), получим
n = 2,52?1013 м-3.
2. Число n1 фотонов, падающих на поверхность площадью 1 м2за время 1 с, найдем из соотношения n1 = N/ (St), где N — число фотонов, падающих за время t на поверхность площадью S. Но N = ncSt, следовательно,
n 1 = (ncSt)/(St) = nc
Подставив сюда значения п и с, получим
n 1 = 7,561021 м-2с-1.
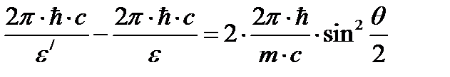
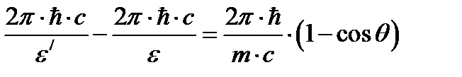
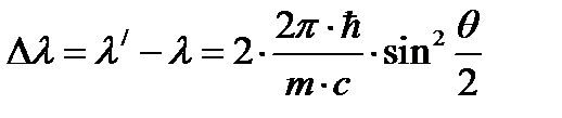
Пример 12. В результате эффекта Комптона фотон при соударении с электроном был рассеян на угол θ = 90°. Энергия ε' рассеянного фотона равна 0,4 МэВ. Определить энергию ε фотона до рассеяния.
Решение. Для определения первичного фотона воспользуемся формулой Комптона в виде
. (1)
Формулу (1) преобразуем следующим образом: 1) выразим длины волн λ' и λ через энергии ε ' и ε соответствующих фотонов, воспользовавшись соотношением ε = 2π c / λ; 2) умножим числитель и
знаменатель правой части формулы на с. Тогда получим

Сократив на 2πc, выразим из этой формулы искомую энергию:

ε = 1,85 МэВ.
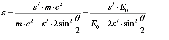
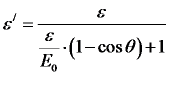
Пример 13. Фотон с энергией ε = 0,75 МэВ рассеялся на свободном электроне под углом θ = 60°. Принимая, что кинетическая энергия и импульс электрона до соударения с фотоном были пренебрежимо малы, определить: 1) энергию ε' рассеянного фотона; 2) кинетическую энергию Т электрона отдачи; 3) направление его движения.
Решение. 1. Энергию рассеянного фотона найдем, воспользовавшись формулой Комптона:

Выразив длины волн λ' и λ через энергии ε' и ε соответствующих фотонов, получим
(1)
Разделим обе части этого равенства на 2π c:
Отсюда, обозначив для краткости энергию покоя электрона тc2 через ео, найдем

Подставив числовые значения величин, получим
ε' = 0,43 МэВ.
2. Кинетическая энергия электрона отдачи, как это следует из закона сохранения энергии, равна разности между энергией ε падающего фотона и энергией е' рассеянного фотона:
T = ε - ε` = 0,32 МэВ.
3. Направление движения электрона отдачи найдем, применив закон сохранения импульса, согласно которому импульс падающего фотона р равен векторной сумме импульсов рассеянного фотона р' и электрона отдачи mv:
p = p' + mυ.
Векторная диаграмма импульсов изображена на рис. 78.
Все векторы проведены из точки О, где находился электрон в момент соударения с фотоном. Угол φ определяет направление движения электрона отдачи.
Из треугольника OCD находим
или
Так как р = ε/с и р' = ε'/с, то
![]() |
Рис. 78
Угол φ выразим непосредственно через величины ε и θ, заданные в условии задачи.
(2)
Тогда
Учитывая, что sin θ = 2sin(θ /2) cos(θ /2) и 1 — cos θ = 2sin2(θ /2), после соответствующих преобразований получим
(3)
После вычисления по формуле (3) найдем tg φ = 0,701, откуда φ = 35°.
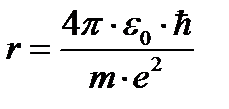
Пример 14. Вычислить радиус первой орбиты атома водорода (Боровский радиус) и скорость электрона на этой орбите.
Решение. Согласно теории Бора, радиус r электронной орбиты и скорость υ электрона на ней связаны равенством тυr = п. Так как в задаче требуется определить величины, относящиеся к первой орбите, то главное квантовое число n = 1 и указанное выше равенство примет вид
тυr = (1)
Для определения двух неизвестных величин r и υ необходимо еще одно уравнение. В качестве второго уравнения воспользуемся уравнением движения электрона. Согласно теории Бора, электрон вращается вокруг ядра. При этом сила взаимодействия между электрическими зарядами ядра и электрона сообщает электрону центростремительное ускорение. На основании второго закона Ньютона можем записать

(е и m — заряд и масса электрона), или
(2)
Совместное решение равенств (1) и (2) относительно r дает
r.
Подставив сюда значения ?, е, т и произведя вычисления, найдем боровский радиус:
r = а = 5,2910-11 м.
Из равенства (1) получим выражение скорости электрона на первой орбите:
υ = /(mr).
Произведя вычисления по этой формуле, найдем
υ = 2,18 Мм/с.
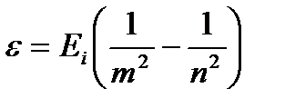
Пример 15. Определить энергию ε фотона, соответствующего второй линии в первой инфракрасной серии (серии Пашена) атома водорода.
![]() |
Решение. Энергия ε фотона, излучаемого атомом водорода при переходе электрона с одной орбиты на другую,

| Рис.79 |
где Ei — энергия ионизации атома водорода; m = 1,2,3,... — номер орбиты, на которую переходит электрон (рис. 79); n = m + 1; m + 2;... — номер орбиты, с которой переходит электрон. Для серии Пашена m = 3; для второй линии этой серии n = 3 + 2 = 5.
Подставив числовые значения, найдем энергию фотона:
ε = 0,97 эВ.

Пример 16. На узкую щель шириной а = 1 мкм направлен параллельный пучок электронов, имеющих скорость υ = 3,65 Мм/с. Учитывая волновые свойства электронов, определить расстояние х между двумя максимумами интенсивности первого порядка в дифракционной картине, полученной на экране, отстоящем на L = 10 см от щели.
| Рис.80 |
Решение. Согласно гипотезе де Бройля, длина волны l, соответствующая частице массой т, движущейся со скоростью, выражается формулой
. (1)
Дифракционный максимум при дифракции на одной щели наблюдается при условии
a sin j = (2 k +1)(l/2), (2)
где k = 0, 1, 2, 3,...—порядковый номер максимумов; a — ширина щели.
Для максимумов первого порядка (k = 1) угол j заведомо мал, поэтому sin j = j, и, следовательно, формула (2) примет вид
aj = 3/2l, (3)
а искомая величина х, как следует из рис. 80,
x = 2L tg j = 2Lj, (4)
так как tg j = j.
Получим

Подстановка в последнее равенство длины волны де Бройля по формуле (1) дает
.
После вычисления по формуле (5) получим
x = 60 мкм.@/p>
Пример 17. На грань кристалла никеля падает параллельный пучок электронов. Кристалл поворачивают так, что угол скольжения θ изменяется. Когда этот угол делается равным 64°, наблюдается максимальное отражение электронов, соответствующее дифракционному максимуму первого порядка. Принимая расстояние d между атомными плоскостями кристалла равным 200 пм, определить длину волны де Бройля λ электронов и их скорость υ.
Решение. К расчету дифракции электронов от кристаллической решетки применяется то же уравнение Вульфа — Брэгга, которое используется в случае рентгеновского излучения:
2d sin θ = kλ
где d — расстояние между атомными плоскостями кристалла: θ — угол скольжения; k — порядковый номер дифракционного максимума; λ— длина волны де Бройля. Очевидно, что
λ = (2 d sin θ) /k.
Подставив в эту формулу значения величин и вычислив, получим
λ = 360 пм.
Из формулы длины волны де Бройля выразим скорость электрона:
ν = 2 π/ (mλ)
Подставив в эту формулу значения π, m (масса электрона), и произведя вычисления, найдем
υ = 2Мм/с.
Пример 18. Кинетическая энергия Т электрона в атоме водорода составляет величину порядка 10 эВ. Используя соотношение неопределенностей, оценить минимальные линейные размеры атома.
Решение. Неопределенность координаты и импульса электрона связаны соотношением
ΔxΔp≥ (1)
где Δ x — неопределенность координаты электрона; Δ р — неопределенность его импульса.
Из этого соотношения следует, что чем точнее определяется положение частицы в пространстве, тем более неопределенным становится импульс, а следовательно, и энергия частицы. Пусть атом имеет линейные размеры l, тогда электрон атома будет находиться где-то в пределах области с неопределенностью: Δ x = l /2. Соотношение неопределенностей (1) можно записать в этом случае в виде (l/2)Δ p ≥, откуда
l ≥ 2 /(Δ р) (2)
Физически разумная неопределенность импульса Δ p, во всяком случае, не должна превышать значения самого импульса р, т. е.
Δ p ≤ p
Импульс р связан с кинетической энергией Т соотношением
Заменим Δ p значением
(такая замена не увеличит l). Переходя от неравенства (2) к равенству, получим
lmin = 2
Подставив числовые значения и произведя вычисления, найдем
l min = 124 пм.
![]() |
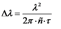
Пример 19. Используя соотношение неопределенностей энергии и времени, определить естественную ширину λ спектральной линии излучения атома при переходе его из возбужденного состояния в основное. Среднее время τ жизни атома в возбужденном состоянии принять равным 10-8 с, а длину волны λ излучения равной 600 нм.
| Рис. 81 |
Решение. При переходе атомов из возбужденного состояния в основное существует некоторый разброс (неопределенность) в энергии испускаемых фотонов. Это связано с тем, что энергия возбужденного состояния не является точно апрель деленной, а имеет конечную ширину Г (рис. 81). Согласно соотношению неопределенностей энергии и времени, ширина Г энергетического уровня возбужденного состояния связана со средним временем τ жизни атомов в этом состоянии соотношением
Гτ ~
Тогда ширина энергетического уровня определяется выражением
Г = / τ
Вследствие конечной ширины уровня энергии возбужденного состояния энергия фотонов, испускаемых атомами, также имеет разброс, равный ширине энергетического уровня, т. е. ε = Г.
Тогда
ε = τ (1)
Поскольку энергия е фотона связана с длиной волны λ соотношением
ε = 2 π c/λ
то разбросу ε (ε << ε) энергии соответствует разброс λ длин волн (λ << λ)
ε =
(2)
(знак минус опущен).
Входящий в это выражение конечный интервал длин волн и есть естественная ширина спектральной линии. Выразив Δ λ из формулы (2) и заменив Де согласно (1), получим

Произведем вычисления:
λ = 2 · 10-14м = 20 фм.
Задачи
321. На мыльную пленку (n = 1,3), находящуюся в воздухе, падает нормально пучок лучей белого света. При какой наименьшей толщине d пленки отраженный свет с длиной волны λ = 0,55 мкм окажется максимально усиленным в результате интерференции?
322. На тонкий стеклянный клин (n = 1,55) падает нормально монохроматический свет. Двугранный угол между поверхностями клина составляет α = 2. Определить длину световой волны, если расстояние между смежными интерференционными максимумами в отраженном свете b = 0,3 мм.
323. Поверхности стеклянного клина образуют между собой угол 0,2. На клин нормально к его поверхности падает пучок лучей монохроматического света с длиной волны λ = 0,55 мкм. Определить ширину интерференционной полосы.
324. Плосковыпуклая линза (n = 1,6) выпуклой стороной прижата к стеклянной пластинке. Расстояние между первыми двумя кольцами Ньютона, наблюдаемыми в отраженном свете, равно 0,5 мм. Определить оптическую силу линзы, если освещение производится монохроматическим светом с λ = 0,55 мкм, падающим нормально.
325. Две плосковыпуклые линзы с радиусами R1 и R2 сложены выпуклыми поверхностями. Радиус m -го светлого интерференционного кольца, наблюдаемого в отраженном свете, равен rm для длины волны λ. Определить радиус rm, если R1 = 1,4 м; R2 = 2,7 м; λ = 0,59 мкм; m = 11.
326. Кольца Ньютона в отраженном свете наблюдаются с помощью плосковыпуклой линзы с радиусом кривизны R1, положенной на вогнутую сферическую поверхность с радиусом кривизны R2. Длина волны света равна λ, радиус m -го темного кольца rm. Определить радиус rm, если R1 = 1,1 м; R2 = 3,2 м; λ = 0,55 мкм; m = 5.
327. Кольца Ньютона в отраженном свете наблюдаются с помощью плосковыпуклой линзы с радиусом кривизны R1, положенной на вогнутую сферическую поверхность с радиусом кривизны R2. Длина волны света равна λ, радиус m-го темного кольца rm. Определить радиус rm, если R1 = 1,4 м; R2 = 2,3 м; λ = 0,59 мкм; m = 12.
328. Плоская волна падает на круглый диск радиуса r. Точка наблюдения находится на расстоянии b от диска. Ширина зоны Френеля, непосредственно примыкающей к диску, равна x при длине волны λ. Определить радиус r, если b = 2,4 м; x = 0,95 мм; λ = 0,63 мкм.
329. Плоская волна падает на круглый диск радиуса r. Точка наблюдения находится на расстоянии b от диска. Ширина зоны Френеля, непосредственно примыкающей к диску, равна x при длине волны λ. Определить ширину зоны x, если b =1,7 м; r =3,5 мм; λ =0,55 мкм.
330. Плоская волна падает на круглый диск радиуса r. Точка наблюдения находится на расстоянии b от диска. Ширина зоны Френеля, непосредственно примыкающей к диску, равна x при длине волны λ. Определить расстояние b, если x = 1,3 мм; r = 2,2 мм; λ = 0,59 мкм.
331. На диафрагму с круглым отверстием радиусом r = 1 мм падает нормально параллельный пучок света с длиной волны 0,5 мкм. На пути лучей, прошедших через отверстие, помещают экран. Определить максимальное расстояние bmax от центра отверстия до экрана, при котором в центре дифракционной картины еще будет наблюдаться темное пятно.
332. Радиус четвертой зоны Френеля для плоского волнового фронта равен 3 мм. Определить радиус шестой зоны Френеля.
333. Плоская световая волна (λ = 0,5 мкм) падает нормально на диафрагму с круглым отверстием диаметром d = 1 см. На каком расстоянии b от отверстия должна находиться точка наблюдения, чтобы отверстие открывало: 1) одну зону Френеля? 2) Две зоны Френеля?
334. На щель шириной, а = 0,05 мм падает нормально монохроматический свет (λ = 0,6 мкм). Определить угол между первоначальным направлением пучка света и направлением на четвертую темную дифракционную полоску.
335. Вследствие изменения температуры абсолютно черного тела максимум спектральной плотности энергетической светимости сместился с 24000 Å на 8000 Å. Как и во сколько раз изменились энергетическая светимость тела и максимальное значение спектральной плотности энергетической светимости?
336. Температура абсолютно черного тела равна 2000 К. Определить: 1) спектральную плотность энергетической светимости для длины волны λ = 6000 Å; 2) энергетическую светимость в интервале длин волн от 5900 Å до 6100 Å. Принять, что среднее значение спектральной плотности энергетической светимости тела в этом интервале равно значению, найденному для длины волны 6000 Å.
337. Энергия, излучаемая через смотровое окошко печи за время t = 5 с, равна W. Площадь окошка равна S = 5,5 см2, максимум в спектре излучения приходится на длину волны λ = 1,6 мкм. Определить энергию W.
338. Модель абсолютно черного тела – полость с малым круглым отверстием диаметром d = 1,5 см. Нагрев производится электрической спиралью, потребляющей ток I = 35 мА при напряжении U = 220 В, причем некоторая доля энергии р рассеивается стенками полости. Равновесная температура излучения, исходящего из отверстия, равна Т = 870 К. Определить энергию р.
339. Какое количество энергии излучает в течении суток каменное оштукатуренное здание общей поверхностью 1000 м2, если коэффициент поглощения (поглощательная способность) при этом 0,8 и температура излучающей поверхности 0 °С.
340. Стальная болванка, температура которой 727 °С, излучает за 1 с 4 Дж энергии с поверхности 1 см2. Определить коэффициент поглощения (поглощательную способность) болванки при данной температуре, считая, что он одинаков для всех волн.
341. 1) Найти насколько уменьшится масса Солнца за год вследствие излучения? 2) Считая излучение Солнца постоянным, найти за какое время масса Солнца уменьшится вдвое. Температуру поверхности Солнца принять равной 5800 К.
342. Поверхность тела нагрета до температуры 1000 К. Затем одна половина этой поверхности нагревается на 100 К, а другая охлаждается на 100 К. Во сколько раз изменится энергетическая светимость поверхности этого тела?
343. Температура абсолютно черного тела изменилась при нагревании от 1000 К до 3000 К. 1) Во сколько раз увеличилась при этом его энергетическая светимость? 2) Насколько изменилась при этом длина волны, на которую приходится максимум спектральной плотности энергетической светимости?
3) Во сколько раз увеличилась его максимальная спектральная плотность энергетической светимости?
344. Поток монохроматического излучения (λ = 500 нм) падает нормально на плоскую зеркальную поверхность и давит на нее с силой 10-8 Н. Определить число фотонов, ежесекундно падающих на эту поверхность.
345. Параллельный пучок монохроматических лучей (λ = 662 нм) падает на зачерненную поверхность и производит на нее давление
Н/м2. Определить концентрацию фотонов в световом пучке.
346. Длина волны λ фотона равна комптоновской длине волны электрона. Определить энергию Е и импульс фотона р.
347. Во сколько раз энергия фотона (λ =550 нм) больше средней кинетической энергии поступательного движения молекулы кислорода при комнатной температуре Т = 20 °С?
348. Определить поверхностную плотность потока энергии излучения I, падающего на зеркальную поверхность, если световое давление при перпендикулярном падении лучей равно р = 10 мкПа.
349. Поток энергии, излучаемый электрической лампой, равен Фе = 600 Вт. На расстоянии r = 1 м от лампы перпендикулярно падающим лучам расположено круглое плоское зеркальце диаметром d = 2 см. Принимая, что излучение лампы одинаково во всех направлениях и что зеркальце полностью отражает падающий на него свет, определить силу светового давления F на зеркальце.
350. На зеркальце с идеально отражающей поверхностью площадью S = 1,5 см2 падает нормально свет от электрической дуги. Определить импульс р, полученный зеркальцем, если поверхностная плотность потока излучения, падающего на зеркальцеравна I = 0,1 МВт/м2. Продолжительность облучения t = 1 c.
351. Определить энергию Е и импульс р фотона, которому соответствует длина волны λ = 380 нм (фиолетовая граница видимого спектра).
352. Определить длину волны λ и импульс р фотона с энергией Е = 1 МэВ.
353. Давление монохроматического света (λ = 600 нм) на черную поверхность, расположенную перпендикулярно падающим лучам, равно р = 0,1 мкПа. Определить число фотонов N, падающих за время t = 1 c на поверхность площадью S = 1 см2.
354. Монохроматическое излучение с длиной волны λ = 500 нм падает нормально на плоскую зеркальную поверхность и давит на нее с силой F = 10 нН. Определить число фотонов N, ежесекундно падающих на эту поверхность.
355. Определить давление солнечных лучей нормально падающих на зеркальную поверхность. Интенсивность солнечного излучения принять равной 1,37 кВт/м2.
356. Плотность потока энергии в импульсе излучения лазера может достигать значения 1,3?1020 Вт/м2. Определить давление такого излучения, нормально падающего на черную поверхность.
357. Свет с длиной волны λ = 500 нм нормально падает на зеркальную поверхность и производит на нее давление р = 4 мкПа. Определить число фотонов, ежесекундно падающих на 1 см2 этой поверхности.
358. На платиновую пластинку падают ультрафиолетовые лучи. Для прекращения фотоэффекта нужно приложить задерживающую разность потенциалов 3,7 В. Если платиновую пластинку заменить пластинкой из другого металла, то задерживающую разность потенциалов нужно увеличить до 6 В. Определить работу выхода электронов с поверхности этой пластинки.
359. На цинковую пластинку падает монохроматический свет длиной волны λ = 2200 Å. Определить максимальную скорость фотоэлектронов.
360. Красная граница фотоэффекта для металла с работой выхода А соответствует длине волны λ0. При освещении поверхности металла излучением длиной волны λ = 0,14 мкм максимальная скорость фотоэлектронов равна υ = 1300 км/с. Определить работу выхода А.
361. При поочередном освещении поверхности некоторого металла светом с длинами волн λ1 = 0,35 мкм и λ2 = 0,54 мкм обнаружили, что соответствующие максимальные скорости фотоэлектронов отличаются друг от друга в n = 2 раза. Найти работу выхода с поверхности этого металла.
362. Красная граница фотоэффекта рубидия 810 нм. Какую обратную разность потенциалов нужно приложить к фотоэлементу, чтобы задержать электроны, испускаемые рубидием под действием ультрафиолетовых лучей длиной волны 100 нм?
363. При падении излучения с длиной волны λ на пластинку из металла с красной границей фотоэффекта λ1 = 0,35 мкм, задерживающее напряжение для фотоэлектронов равно U1 = 1,4 В, а при падении на пластинку с красной границей λ2 = 0,45 мкм оно равно U2. Определить U2.
364. Определить импульс электрона отдачи при эффекте Комптона, если фотон с энергией, равной энергии покоя электрона, был рассеян на угол равный 180°.
365. Фотон с энергией 0,25 МэВ рассеялся на свободном электроне. Энергия рассеянного электрона 0,2 МэВ. Определить угол рассеяния.
366. Фотон с энергией 1 МэВ рассеялся на свободном покоившемся электроне. Найти кинетическую энергию электрона отдачи, если в результате рассеяния длина волны фотона изменилась на 25%.
367. Рентгеновский фотон испытал комптоновское рассеяние на угол θ = 48°. Первоначальная энергия фотона W1 = 0, 15 МэВ, энергия электрона отдачи Wе. Найти энергию фотона после рассеяния W2.
368. При рассеянии рентгеновского излучения с длиной волны λ =3,5 пм на угол θ кинетическая энергия отдачи равна Wе, угол между падающим фотоном и направлением движения электрона отдачи равен γ = 22°.
369. При рассеянии рентгеновского излучения с длиной волны λ на угол θ = 130° кинетическая энергия отдачи равна Wе = 85 кэВ, угол между падающим фотоном и направлением движения электрона отдачи равен γ. Найти λ.
370. Определить наименьшее и наибольшее значения энергии фотона в ультрафиолетовой серии спектра водорода (серии Лаймана).
371. Фотон с энергией 16,5 эВ выбил электрон из невозбужденного атома водорода. Какую скорость будет иметь электрон вдали от ядра атома?
372. Электрон движется по второй орбите атома водорода. Найти длину волны де Бройля.
373. Атомарный водород переведен из нормального состояния в возбужденное, характеризуемое главным квантовым числом 3. Какие спектральные линии могут появиться в спектре водорода при переходе атома из возбужденного состояния в нормальное?
374. Атом водорода в основном состоянии поглотил квант света с энергией 12,09 эВ. Определить кинетическую, потенциальную и полную энергию электрона в возбужденном атоме?
375. Насколько изменится орбитальный момент импульса электрона в атоме водорода (момент количества движения) при испускании атомом второй по порядку спектральной линии серии Бальмера (электрон переходит с четвертого уровня на второй)?
376. Определить потенциальную, кинетическую и полную энергии электрона, находящегося на первой орбите атома водорода.
377. Найти наибольшую λmax и наименьшую λmin длины волн в первой инфракрасной серии спектра водорода (серии Пашена).
378. Найти энергию Еi и потенциал Ui ионизации ионов He+ и Li++.
379. Вычислить частоты ν1 и ν2 вращения электрона в атоме водорода на второй и третьей орбитах. Сравнить эти частоты с частотой ν излучения при переходе электрона с третьей на вторую орбиту.
380. Атом водорода в основном состоянии поглотил квант света с длиной волны λ = 121,5 нм. Определить радиус r электронной орбиты возбужденного атома водорода.
381. Определить первый потенциал U 1 возбуждения атома водорода.
382. Вычислить длину волны λ, которую испускает ион гелия He+ при переходе со второго энергетического уровня на первый. Сделать такой же подсчет для иона лития Li++.
383. Оценить с помощью соотношения неопределенностей минимальную кинетическую энергию Tmin электрона, движущегося внутри сферической области d = 0,1 нм.
384. Атом испустил фотон с длиной волны λ = 600 нм. Продолжительность излучения t = 50 нс. Определить наибольшую точность (Δλ), с которой может быть измерена длина волны излучения.
385. Определить неточность Δx в определении координаты электрона, движущегося в атоме водорода со скоростью υ = 1,5?106 м/с, если допускаемая неточность Δ υ в определении скорости составляет 10% от ее величины. Сравнить полученную неточность с диаметром d водорода, вычисленным по теории Бора для основного состояния, и указать, применимо ли понятие траектории в данном случае.
386. Электрон с кинетической энергией Т = 15 эВ находится в металлической пылинке диаметром d = 1 мкм. Оценить (в процентах) относительную неточность, с которой может быть определена скорость электрона.
387. Во сколько раз дебройлевская длина волны λ частицы меньше неопределенности ее координаты Δx, которая соответствует неопределенности ее импульса в 1%.
388. Используя соотношение неопределенностей
?, оценить низший энергетический уровень электрона в атоме водорода. Принять линейные размеры атома 1 Å.
389. Ширина следа электрона от фотографии, полученной с помощью камеры Вильсона, составляет Δx = 10-3 м . Найти неопределенность в определении скорости.
390. Электрон с кинетической энергией Т = 25 эВ находится в металлической пылинке диаметром d = 1,5 мкм. Оценить (в процентах) относительную неточность, с которой может быть определена скорость электрона.
391. Частица находится в потенциальном ящике. Найти отношение разности соседних энергетических уровней ΔEn+1, n к энергии En частицы
в трех случаях:
1) n = 3;
2) n = 10;
3) n → ∞.
Пояснить полученные результаты.
392. Электрон находится в потенциальном ящике шириной l = 0,5 нм. Определить наименьшую разность ΔE энергетических уровней электрона. Ответ выразить в электрон-вольтах.
393. Собственная функция, описывающая состояние частицы в потенциальном ящике, имеет вид ψn(x) = C sin(πnx/l). Используя условия нормировки, определить постоянную C.
394. Изобразить на графике вид первых трех собственных функций ψn(x), описывающих состояние электрона в потенциальном ящике шириной l, а также вид |ψn(x)|2. Установить соответствие между числом N узлов волновой функции (т. е. числом точек, где волновая функция обращается в нуль в интервале 0<x<l) и квантовым числом n. Функцию считать нормированной на единицу.
395. Частица в потенциальном ящике находится в основном состоянии. Какова вероятность W нахождения частицы:
1) в средней трети ящика;
2) в крайней трети ящика?
396. Атом водорода находится в основном состоянии. Собственная волновая функция, описывающая состояние электрона в атоме, имеет вид ψ(r) = Ce-r/a, где C — некоторая постоянная. Найти из условия нормировки постоянную C.
397. Электрон находится в бесконечно глубокой одномерной потенциальной яме ширины a = 1,00 см. Найти плотность энергетических уровней dn/dE электрона (т. е. число уровней, приходящееся на единичный интервал энергии).
398. Найти пси-функции и значения энергии частицы массы m, находящейся в одномерной бесконечно глубокой потенциальной яме ширины a (0≤x≤a). (Бесконечная глубина ямы означает, что потенциальная энергия частицы внутри ямы равна нулю, а вне ямы — бесконечности.)
399. Пси-функция некоторой частицы имеет вид ψ = A ехр(-r2/2a2), где r — расстояние частицы от силового центра, a — константа. Найтизначение коэффициента A,
400. Найти пси-функции и значения энергии частицы массы m, находящейся в трехмерной бесконечно глубокой потенциальной яме (бесконечная глубина ямы означает, что потенциальная энергия частицы внутри ямы равна нулю, а вне ямы — бесконечности.), размер которой равен a по оси x, b по оси y и c по оси z (0≤x≤a, 0≤y≤b, 0≤z≤c).


