Для оценки текущей стоимости облигаций применяется метод дисконтирования денежных потоков.
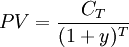
Текущая стоимость дисконтной облигации (zero coupon bond) может быть рассчитана как
.
Здесь
·
— текущая стоимость облигации,
·
— номинал облигации,
·
— ставка дисконтирования (ставка альтернативных вложений),
·
— время (количество временны́х периодов), оставшихся до даты погашения облигации. Соответственно ставка
должна указываться на один период.
Будущая стоимость дисконтной облигации рассчитывается как
,
где
— время (количество периодов) до даты, на которую рассчитывается будущая стоимость.
Для процентных облигаций доход получается в виде купонов, т. е. имеет место поток платежей
, распределённый во времени. В этом случае текущая стоимость рассчитывается следующим образом:

— номинал облигации, С - купон облигации. Т. е. для процентных облигаций суммируется дисконтированная сумма основного долга (номинала) и каждого из непогашенных купонов.






