На основе проведенного на предыдущем занятии расчета годовой производственной программы АСП необходимо:
- произвести расчет количества постов на участках и в зоне ТОиР;
- произвести расчет загрузки постов;
- определить наличие возможности совмещения некоторых видов работ для обеспечения должной загрузки постов.
Расчет числа постов зоны ТО и ТР и вспомогательных постов, штатного числа рабочих, площадей производственных, вспомогательных и санитарно-бытовых помещений осуществляется аналогично расчету СЦ, производимому при выполнении курсового проекта по дисциплине «Проектирование процесса оказания услуг».
Если расчеты были произведены верно, преподаватель может разрешить в дальнейшем опираться на них. Если же требуется их корректировка, можно воспользоваться формулами 1, 2, приведёнными в приложении 8.
В любом случае, необходимо учитывать, что в проектируемом СЦ обычно выполняются не все виды регламентных работ (см. ОНТП 01-91), тогда годовой объем определятся по следующему выражению
, (6.1)
где δ – суммарная доля по всем видам выполняемых регламентных работ по ТО и ТР, %. Она определяется в зависимости от результата предварительного расчета количества постов на проектируемом СЦ.
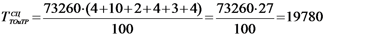
Пример: Исходные данные: суммарный годовой объем работ по ТО и ТР составляет
=73260 чел.-ч.; предварительный расчет числа постов – 21,4 поста.
По таблице 1 (см. приложение 8) выбираем столбец «от 16 до 25» постов. Далее в соответствии с выбранным спектром услуг, предоставляемых проектируемым СЦ, определяем долю соответствующих видов регламентных работ: контрольно-диагностические – 4%, ТО в полном объеме – 10%, смазочные – 2%, регулировочные по установке углов передних колес – 4%, регулировочные по тормозам – 3%, электротехнические – 4%. Тогда годовой объем по ТО и ТР в СЦ, определяемый по формуле 6.1, составит
чел.- ч.
Если в сервисном центре выполняется 100% всех видов работ, тогда
= 






