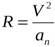
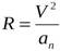
1) найти радиус кривизны траектории в наивысшей точке полета. 
.
V(x)=V*cos α= const.
a=g.
V(x)^2=V^2*cos^2 α
R=(V^2*cos^2 α)/g.
2)найти радийс кривизны траектории в начальной точке полета.

.
a=g*cos α.
R=(V^2)/g*cos α.
3) найти радиус траектории.

Центр масс твёрдого тела движется так же как двигалась бы материальная точка, масса которой равна массе тела, под действием внешних сил, приложенных к данному телу.
Доказательство:
Тело состоит из нескольких элементов. Уравнение i-го элемента массой m записывается так:
Δpi = ∑Fik + Fi (т.к. Δp=FΔt)
Δt
Где Fi внешняя сила, а ∑Fik это сумма внутренних сил, действующих на i-ый элемент со стороны всех других элементов.
Сложим все аналогичные уравнения для всех элементов. Т.к. Fik = -Fki третьему закону Ньютона, то их сумма равна нулю.
После сложения получим:
∑Δpi = ∑Fi
Δt
∑Δ(mi vi) = ∑Fi
Δt
Δ∑mi vi = ∑Fi
Δt
Т.к. ∑mi vi = mv то:
mΔv = ma = ∑Fi
Δt
Устойчивое равновесие - это равновесие, при котором, тело, выведенное из положения равновесия, вернётся в то же положение.
|
|
|
Неустойчивое равновесие — если тело, после смещения, не вернётся в это положение.
Скорость точки, движущейся по окружности,часто называют Линейной скоростью,чтобы подчеркнуть ее отличие от угловой скорости. Между линейной скоростью точки, обращающейся по окружности, и ее угловой скоростью существует связь. При равномерном движении точки по любой траектории модуль скорости равен s/∆t
Точка A, движущаяся по окружности радиуса R,за время ∆t проходит путь равный дуге A1A2
S=A1A2=∆ϕR. Модуль линейной скорости движения v= s/∆t ==∆ϕR/∆t=ωR

| v=ωR |
Итак, модуль линейной скорости точки, движущейся по окружности, равен произведению угловой скорости на радиус окружности:
Эта формула справедлива как для равномерного, так и для неравномерного движения точки по окружности.
| a= ω ² R |
Модуль ускорения точки, движущейся по окружности, можно выразить через угловую скорость тела и радиус окружности. Так как a=v²/R и v= ωR
Центростремительное ускорение.
Центростремительное ускорение (нормальное ускорение) - ускорение, направленное перпендикулярно мгновенной скорости и изменяющее ее по направление.
За время t точка А совершиит перемещение АА1 = r. Рассмотрю треугольники ОАА 1 и А1СВ (см. рисунок 1.82, а).Углы при вершинах этих равнобедренных треугольников равны(так как
соответствующие стороны перпендикулярны). => треугольники подобны. =>
Разделим обе части равенства на t, перейдем к пределу при стремлении интервала времени t 0:
Предел в левой части равенства есть модуль мгновенного ускорения, а предел в правой части равенства представляет собой модуль мгновенной скорости точки. Поэтому равенство примет вид:
|
|
|
Отсюда:
Очевидно, что модуль ускорения при равномерном движении точки по окружности есть постоянная величина, так как U и r не изменяются при движении