Введение
Двигатели постоянного тока применяют в электроприводах, требующих широкого, плавного и экономичного регулирования частоты вращения, высоких перегрузочных пусковых и тормозных моментов, главным образом в металлообрабатывающих станках, бумагоделательных машинах, в текстильной, резиновой, полиграфической промышленности, вспомогательных механизмах металлургической промышленности и др.
Конструкция двигателей постоянного тока сложнее и стоимость их выше, чем у асинхронных двигателей, однако, благодаря указанным свойствам, удельный вес их в общем выпуске электрических машин не снижается, а наоборот, имеет тенденцию к повышению. Особенно эта тенденция проявляется в течение последних десятилетий в связи с развитием и широким внедрением автоматизированного привода, а также с освоением тиристорных устройств, создающих возможность питания двигателей постоянного тока от сети переменного тока. Вместе с тем развитие статических преобразователей влечет за собой соответствующее сокращение выпуска генераторов постоянного тока. Выпускаемая единая серия подразделяется на два основных ряда: серию 2П с h =90¸315 мм (мощностью до 200 кВт при 1500 об/мин) и серию П2 с h =355¸630 мм (мощностью свыше 200 кВт), серии П h =112¸400 мм (мощностью от 0,3 до 200 кВт).
|
|
|
В серии П предусмотрены следующие исполнения по степени защиты и способу охлаждения: защищенное исполнение (IP22) с самовентиляцией (IC01) при h =112¸400 мм; закрытое исполнение (IP44) с наружным обдувом от вентилятора, расположенного на валу двигателя (IC0141) при h =112¸160 мм; закрытое исполнение (IP44) с пристроенным воздухо-воздушным охладителем (IC0161) при h =180¸400 мм; закрытое исполнение (IP44) c естественным охлаждением (IC0041) при h =112¸280 мм.
Двигатели выполняются на номинальные напряжения: 110 В(при мощности до 55 кВт включительно), 220 В (во всем диапазоне мощностей) и 440 В(при мощности 1,5 кВт и выше). Машины со степенью защиты IP22 выполняются с изоляцией класса нагревостойкости В (при h =112¸225 мм); остальные машины – с классом F. Станины в машинах серии П монолитные.
Магнитная цепь машины. Размеры конфигурация, материал
Главные размеры
2.1.1 Высота оси вращения

2.1.2 Максимально допустимый наружный диаметр корпуса и сердечника якоря


2.1.3 Коэффициент отношения ЭДС к напряжению и коэффициент отношения тока якоря к току машины


2.1.4 Среднее значение КПД

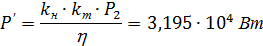
2.1.5 Расчетная мощность

Принимаем изоляцию класса нагревостойкости В.
2.1.6 Линейная нагрузка обмотки якоря

2.1.7 Максимальное значение магнитной индукции в воздушном зазоре

2.1.8 Коэффициент полюсной дуги
|
|
|

2.1.9 Расчетная длина сердечника якоря

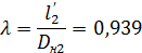
2.1.10 Отношение l

2.1.11 Максимальное значение l max







