Принимаем монолитную станину из стали марки Ст3.
2.5.1 Длина станины

2.5.2 Предварительная магнитная индукция в станине

2.5.3 Высота станины

где k с = 1 для монолитной станины.
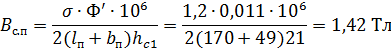
Принимаем h с1 = 21 мм
2.5.4 Магнитная индукция в месте распространения магнитного потока в станине

2.5.5 Внутренний диметр монолитной станины

2.5.6 Высота главного и добавочного полюсов








