3.2.1 Предварительная магнитная индукция в спинке якоря

Допускаемое значение 
3.2.2 Предварительная магнитная индукция в зубцах

3.2.3 Ширина зубца

3.2.4 Радиус паза больший

3.2.5 Радиус паза меньший

3.2.6 Контрольная ширина зубца


3.2.7 Расстояние между центрами радиусов

3.2.8 Площадь поперечного сечения паза в штампе

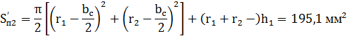
3.2.9 Площадь поперечного сечения паза в свету

3.2.10 Площадь поперечного сечения корпусной изоляции

3.2.11 Площадь поперечного сечения клина и прокладок

3.2.12 Площадь поперечного сечения паза занимаемого обмоткой

3.2.13 Предварительный диаметр провода с изоляцией

Ближайший меньший стандартный диаметр провода с изоляцией и без изоляции (приложение 1)

3.2.14 Уточненный коэффициент заполнения паза

3.2.15 Площадь поперечного сечения провода без изоляции при принятом диаметре (приложение 1)

3.2.16 Плотность тока в обмотке

3.2.17 Удельная тепловая нагрузка якоря от потерь в обмотке

3.2.18 Среднее зубцовое деление якоря
|
|
|

3.2.19 Средняя ширина секции обмотки

3.2.20 Средняя длина одной лобовой части секции

3.2.21 Средняя длина витка обмотки

3.2.22 Сопротивление обмотки при температуре 20 С

3.2.23 Сопротивление обмотки в относительных единицах

3.2.24 Контрольное значение

3.2.25 Длина вылета лобовой части обмотки

3.2.26 Ширина шлица паза


Рисунок 3 – Развернутая схема обмотки якоря

Рисунок 4 – Эскиз паза якоря






