3.1 Тип и шаг обмотки якоря. Количество витков обмотки, коллекторных пластин, пазов.
3.1.1 Предварительное значение тока якоря

Принимаем простую волновую обмотку из провода ПЭТВ
3.1.2 Окружная скорость якоря

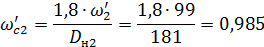
3.1.3 Предварительное количество витков обмотки якоря

где 2 а = 4 − количество параллельных ветвей обмотки якоря (таблица 10.8)
Принимаем 
3.1.4 Предварительное количество витков в секции

Принимаем 
Количество секций в пазу N ш = 3
3.1.5 Предварительное количество пазов якоря

Принимаем 
3.1.6 Количество коллекторных пластин

3.1.7 Зубцовое деление по наружному диаметру якоря

3.1.8 Наружный диаметр коллектора

Принимаем 
3.1.9 Коллекторное деление

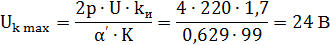
3.1.10 Максимальное напряжение между соседними коллекторными пластинами при нагрузке

где
коэффициент искажения поля.

3.1.11 Число витков обмотки якоря

3.1.12 Количество эффективных проводников

3.1.12 Ток в пазу

3.1.13 Уточненная линейная нагрузка якоря

|
|
|
3.1.14 Реальные пазы

3.1.15 Элементарные пазы

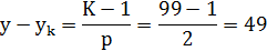
3.1.16 Первый и второй частичные шаги по элементарным пазам


3.1.17 Высота паза

3.1.18 Высота спинки якоря







