
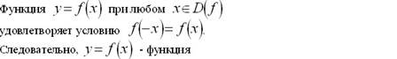
Эталон(ы) ответа: четная

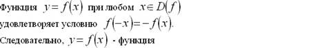
Эталон(ы) ответа: нечетная

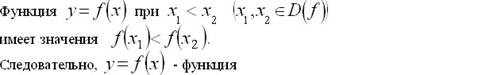
Эталон(ы) ответа: возрастающая

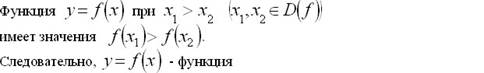
Эталон(ы) ответа: Убывающая

Эталон(ы) ответа: предел
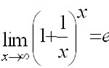
Второй замечательный предел имеет вид:
þ 

þ 

þ точка разрыва 1 рода

þ 
Первый замечательный предел имеет вид:
þ 
Всякая ограниченная функция имеет предел
þ нет

þ 






