Обозначив φ (x, y)= x + y составим функцию Лагранжа: F (x, y)= z (x, y)+ λφ (x, y)=3 y 3+4 x 2− xy + λ (x + y).
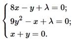
∂ F ∂ x =8 x − y + λ;∂ F ∂ y =9 y 2− x + λ
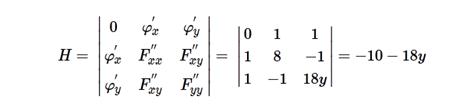
Решив систему, получим: x 1=0, y 1=0, λ 1=0 и x 2=109, y 2=−109, λ 2=−10. Имеем две стационарные точки: M 1(0;0) и M 2(109;−109). Выясним характер экстремума в каждой стационарной точке с использованием определителя H. 
В точке M 1(0;0) H =−10−18⋅0=−10<0, поэтому M 1(0;0) есть точка условного минимума функции z (x, y)=3 y 3+4 x 2− xy, zmin =0. В точке M 2(109;−109) H =10>0, посему в данной точке функция имеет условный максимум, zmax =500243.
Исследуем характер экстремума в каждой из точек иным методом, основываясь на знаке d 2 F:
d 2 F = F ′′ xxdx 2+2 F ′′ xydxdy + F ′′ yydy 2=8 dx 2−2 dxdy +18 ydy 2
Из уравнения связи x + y =0 имеем: d (x + y)=0, dx + dy =0, dy =− dx.
d 2 F =8 dx 2−2 dxdy +18 ydy 2=8 dx 2−2 dx (− dx)+18 y (− dx)2=(10+18 y) dx 2
Так как d 2 F ∣∣ M 1=10 dx 2>0, то M 1(0;0) является точкой условного минимума функции z (x, y)=3 y 3+4 x 2− xy. Аналогично, d 2 F ∣∣ M 2=−10 dx 2<0, т.е. M 2(109;−109) – точка условного максимума.






