
þ 

þ 

þ 

þ 

þ 

þ 

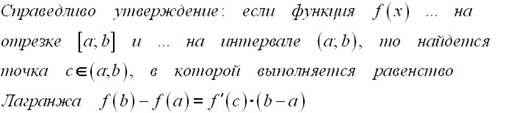
Эталон(ы) ответа: производная, производной, первой производной, первая производная

Эталон(ы) ответа: производная, производ#$#

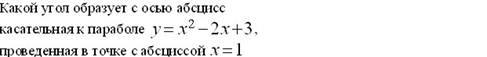
Эталон(ы) ответа: тангенс, тангенсу, tg, tan

Эталон(ы) ответа: дифференциал, диференциал, дифференциалом, диференциалом

Эталон(ы) ответа: непрерыв#$# дифференцир#$#, непрерыв#$# диференцир#$#, непрерыв#$# диф*ренцир#$#

Эталон(ы) ответа: возрастает, возрастающая

Эталон(ы) ответа: убывает, убывающая, убыв#$#

Эталон(ы) ответа: экстре#$#, точк#$# миним#$#, миним#$#, точк#$# экстре#$#

Эталон(ы) ответа: максим#$#, точк#$# максим#$#, экстре#$#, точк#$# экстре#$#
Задание 11 (Приложение производной)

þ 

þ 

þ 16 м/сек

þ 1м/сек

þ 

þ 0,02

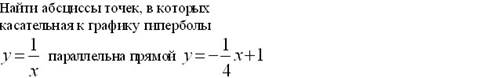
þ 1

þ 1/3

þ 

þ -1/2






