Во многих случаях определения места при избыточных линиях положения можно выполнить оценку точности обсерваций методом эквивалентных линий положения.
Эквивалентные линии положения (ЭЛП) - это линии, проходящие через вероятнейшее место судна и совпадающие с направлениями главных осей эллипса погрешностей (см. рис.). Поскольку погрешности места по направлению главных осей эллипса являются экстре-мальными, то экстремальными являются и веса эквивалентных линий положения.
СКП первой эквивалентной ЛП минимальна и равна " b ". Поэтому вес ЭЛП максимален - Ртах, СКП второй эквивалентной ЛП максимальна и равна " а ". Поэтому вес ЭЛП минимален - Ртin.
Между СКП линий положения и их весами существует определенное соотношение
.
Следовательно, определив веса эквивалентных линий положения можно вычислить и главные полуоси среднего квадратического эллипса:
;
.
Графоаналитический способ получения элементов эллипса погрешностей при числе линий положения больше двух заключается в следующем:
1. Находится направление ti и величина градиента каждой линии положения gi.
2. Вычисляются веса линий положения
погрешность измерения параметра).
3. Вычисляется сумма весов эквивалентных линий положения. Она равна сумме весов исходных линий положения:
.
4. Для расчета разности эквивалентных ЛП q =
строится квадратичный полигон (полигон весов линий положения). Для построения полигона на чистом листе бумаги из произвольной точки А (см. рис.) под углом
относительно меридиана прокладывается вектор, равный весу р лп1,первой линии положения. Из его конца под углом 2t2 к меридиану прокладывается вектор, равный весу рлп2 второй линии положения и т.д.; измеряется длина замыкающей квадратичного полигона q. Она равна разности весов эквивалентных линий положения
.
5. Измеряется угол 2Т, который составляет с меридианом замыкающая квадратичного полигона; его половина, т.е. угол Т,дает направление малой оси эллипса погрешностей.
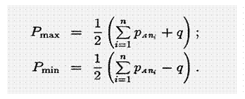
6. Из выше написанных уравнений находятся веса эквивалентных линий положения:
![]() |
7. Вычисляются величины полуосей среднего квадратического эллипса погрешностей обсервованного места
;
.
Величина q может быть вычислена по формуле
.
Направление малой оси эллипса погрешностей вычисляется по формуле
.
