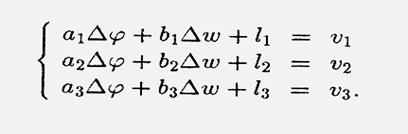
Обозначим

|
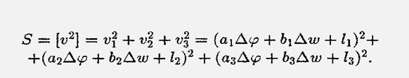
Для решения этой системы воспользуемся критерием S=min и запишем его выражение через левые части уравнений
|
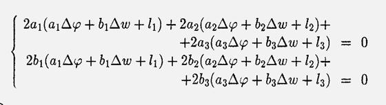
Для определения приращений
и
, соответствующих минимуму критерия S, используем традиционный метод поиска экстремальных значений функции, взяв частные производные от S по
и
:
и
.
|
Выполнив сложение, получаем систему 2-х нормальных уравнений в обозначениях Гаусса:
|
имеет следующие свойства:
- коэффициенты на главной диагонали положительны;
- коэффициенты, расположенные симметрично относительно главной диагонали, равны. Это симметричная система.
Универсальная запись нормальных уравнений в матричном виде выглядит следующим образом:
(5)
АТ - транспонированная матрица A, т.е., если
,то
.
Формальная запись решения системы (5) при обращаемой матрице (АТА) такова:
(6)
Расшифровка записи (6) приводит к формулам Крамера для решения системы.
![]() |
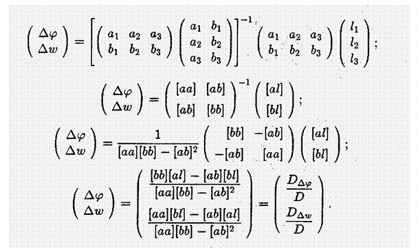
При определении места по трём линиям положения можно написать:
Таким образом, получено известное правило Крамера, где D - главный определитель системы, а
и
- определители для
и
соответственно.
Контроль правильности решения получают подстановкой найденных неизвестных в так называемое суммарное уравнение, полученное суммированием нормальных уравнений.
.
Способ решения нормальных уравнений по правилу Крамера при п >2становится трудоемким и не всегда устойчивым при малых значениях D.
Другими способами решения системы нормальных уравнений являются:
- способ последовательного исключения искомых величин;
- способ последовательных приближений (итераций).
Первый из них применяется главным образом при неавтоматизированных вычислениях, осуществляемых вручную или с применением микрокалькуляторов. Все расчёты выполняются в специальных схемах. Наиболее употребительна схема Гаусса-Зейделя, в которой вычисления сводятся к простым однообразным действиям, предусмотрены постоянный контроль правильности вычислений (отсутствия промахов) и оценивание точности полученных результатов.
Способ итераций легко реализуется на ЭВМ, к недостатку следует отнести итерационную процедуру, которая не даёт конечного решения, но быстродействие современных ЭВМ снимает этот вопрос.
