Элементы среднего квадратического эллипса погрешностей также выражаются через коэффициенты нормальных уравнений и рассчитываются по следующим формулам:
![]() |
Если
величина положительная, то α вычисленный по третьей формуле определяет направление малой оси; если же отрицательная, то угол a определяет направление (относительно меридиана) большой оси эллипса.
38 Среднеквадратическая (радиальная) погрешность.
Расчёт радиальной средней квадратической погрешности места судна производится по формуле
.
39 Общие принципы обработки косвенных измерений по методу наименьших квадратов.
Дана последовательность независимых совместных наблюдений {xi
, yi},
i=1…N. Требуется оценить параметры наилучшей аппроксимирующей
(регрессионной) кривой, соответствующей данным наблюдениям.
Задача нахождения наилучшей аппроксимирующей кривой в общем
случае является достаточно сложной и наиболее просто решается, если
функциональная зависимость имеет вид прямой линии у = ax + b. Поэтому на
практике, если это возможно, сложные функциональные зависимости сводят к
линейным зависимостям. При этом задача нахождения регрессионной кривой
сводится к решению следующих задач:
1. Линеаризация нелинейных зависимостей, которая производится
путем соответствующей замены переменных.
2. Нахождение наилучших значений коэффициентов a и b в линейной
зависимости у = ax + b или коэффициента a в зависимости у = ax согласно
методу наименьших квадратов (МНК).
3. Нахождение случайных и приборных погрешностей этих коэффициентов.
4. Определение по найденным значениям коэффициентов a и b физических
констант, содержащихся в этих коэффициентах. Последняя задача решается
стандартным приемом метода переноса погрешностей при косвенных
измерениях.
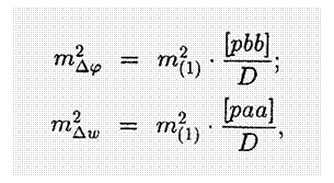
Поправки
и
, найденные методом наименьших квадратов, характеризуются следующими показателями точности (для неравноточных измерений)
![]() |
где
- СКП измерения с весом, равным единицы;
D – главный определитель системы.
при n> 5вычисляется апостериорно, т.е. после вычисления поправок
и 
.
Близость этой величины к единице является свидетельством соответствия используемых в расчётах СКП навигационных параметров действительным условиям, в которых производилась обсервация.
При малом числе измерений (n <5) оценка m(1) становится весьма приближенной, поэтому принимается m(1)= 1.








