Случайной называют (СВ) величину, к-рая в результате испытаний примет одно только одно возможное значение, наперед не известное и зависящее от случайных величин, к-рые учесть невозможно.
Если СВ Х имеет 3 возможных значения, то они обозн-ся х1, х2, х3.
Дискретная СВ (ДСВ) называют СВ, к-рое может принимать отдельные изолированные значения.
Непрерывная СВ (НСВ) – СВ, к-рая может принимать любые значения из некоторого интервала.
Например, дальность полёта снаряда – НСВ.
Для хар-ки СВ перечня ее возможных значений недостаточно. Нужно ук-ть вер-ти этих возможных значений.
Законом распределения СВ называют соответствие м/у ее возможными значениями и их вер-тей. М.б. задан графич., аналитич., таблично
По лпр-ю СВ Х=х1, Х=х2,…,Х=хn обр-ют полную группу несовместных событий, поэтому сумма их вер-тей =1: р1+р2+…+рn=1.Если в прямоуг. СК построить точки (хi;pi) и соединить из ломаной, то получим полигон распределения.
З-н распределения полностью хар-ет СВ, однако часто необходимо иметь такие хар-ки СВ, к-ые описывали ее суммарно. СВ имеют подобные числовые хар-ки: МО и дисперсия.
МО ДСВ называют сумму произведений возможных ее значений на их вер-ть. М(Х)=mх=Σxipi
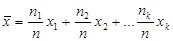
Рассмотрим результаты наблюдений над СВ Х, возможные значения к-рой х1, х2, …, хn. Допустим, что при испытании СВ Х приняла значение =х1 n1 раз, значение х2 n2 раз, …, хk nk раз. Найдем ср.знач. из всех наблюдаемых значений:
Если
и разделить почленно все слагаемые:
n1/n=w1; nk/n=wk – относит.частоты значений х1,..хk.
При дост.большом n относит.частоты≈вер-тям соответствующих значений СВ Х. Тогда 
Т.о. МО СВ ≈ее ср.знач. В этом и заключается вероятностный смысл МО. Можно сказать, что МО явл-ся теоретич.хар-кой СВ, а ср.знач. – эмпирич. ее значением.






