Определим ДСВ как число появления случ.события в n испытаниях по схеме Бернулли, т.е. вер-ть появления события в каждом испытании постоянно и=р и исходы испытаний не зависимы друг от друга. Возможные значения СВ х1=0, х2=1,…,хn+1=n. Вер-ти этих возможных значений вычисл-ся по формуле Бернулли 
Распределение этой СВ в виде табл:
| х | … | k | … | n | ||
| р | qn | npqn-1 | | pn |
Это распределение назыв-ся биномиальным, т.к. вер-ть возможного значения СВ(Х)=k=общему числу разложения бинома Ньютона 
Найдем численные хар-ки биномиального распределения. Для этого рассмотрим хi – число появления события в одном i-ом испытании. Ее распределение представлено табл.
М(Х)=0·q+1р=р
D(Xi)=M(Xi2)-M2(Xi)=02·q+12·р-р2=р-р2=р(1-р)=pq
Т.о. МО числа появляющегося события в единичном испытании=вер-ти его появления, а дисперсия – произведению вер-ти его появления на вер-ть непоявления.
СВ Х – число появления события в n испытании=сумме СВ х1,…хn:Х=Σхi.
Пользуясь св-вами МО и дисперсии для суммы незав. СВ, имеем, что М(Х)=М(Σхi)=ΣМ(хi)=Σр=nр.
|
|
|
Дисперсия: D(Х)=D(Σхi)=ΣD(хi)=Σpq=npq
Т.о. mx=np; Dx=npq
Пример 1.Реш-е: вероятнейшее число попаданий=МО. mх=np=200·0,95=190; СКО: 
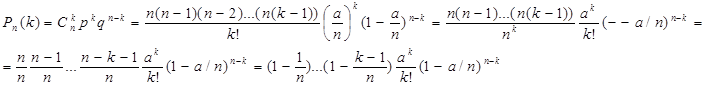
Для вычисления вер-ти появления события k раз в n испытаниях применяют формулу Бернулли. При больших n пользуются лок.теоремой Лапласа, к-рая пригодна при значениях вер-ти появления события в единичном испытании примерно удовлетворяет условию р≥1 при меньших значениях вер-ти и большом n выведем асимптотическую формулу Пуассона. Обозначим МО биномиальным распределение mx=a=np=>р=a/n. Подставим р в формулу Бернулли и преобразуем:

Учитывая, что n велико, найдем не саму величину Pn(k), а ее предельное значение при n→∞, к-рое дает приближенное значение Pn(k):


Т.о. для массовых, но редких событий (р мало) получаем формулу распределения Пуассона: Pn(k)≈(аk/k!)e-a.
Пример 2. n=5000; p=0.001;a=np=5.
Событие «потребитель получит не более 3 негодных деталей»=сумме несовместных событий «не повредится ни одной детали», «повредится одна», «-//- 2», «-//- 3». По т.сложения имеем, что: р(k≤3)=р(0)+р(1)+р(3)=е-5+5е-5+25/2 е-5+125/6 е-5=0,265