Анализ цен конкурентов позволяет ознакомиться с «ценовым коридором», интервалом между минимальной и максимальной ценой присутствующих на рынке аналогичных продуктов конкурентов. Информация о ценах на товары конкурентов должна быть дополнена сведениями об объемах продаж, затратах на маркетинговые исследования, скидках с цены для обеспечения сопоставимости с затратами организации.
Изучение цен и товаров конкурентов необходимо для выбора основной стратегии повышения конкурентоспособности собственной продукции, которая скажется на ее цене. Наиболее востребованы следующие стратегии:
– стратегия снижения себестоимости продукции и соответственно цен для привлечения потребителей, для которых цена имеет значение. Ориентация на массовый выпуск стандартной продукции, когда экономия достигается специализацией производства. Постоянные издержки снижаются в расчете на единицу продукции с ростом объемов производства. Стратегия снижения себестоимости не связана с реализацией по необоснованно низким ценам. Цены снижаются пропорционально снижению себестоимости;
|
|
|
– стратегия дифференциации продукции. Реализуется в основном за счет качества. Цена есть функция параметров качества. Маркетинг, основанный на дифференциации, позволяет уклониться от ценовой конкуренции с более мощными производителями.
Предприятия должны использовать несколько стратегий, оценивая сильные и слабые стороны каждой. В большинстве случаев необходима оценка конкурентоспособности продукции.
Конкурентоспособность продукции – комплекс потребительских и стоимостных характеристик товара, определяющих его преимущество перед другими товарами.
Конкурентоспособность определяется сравнением товаров конкурентов по техническим и экономическим (стоимостным) параметрам.
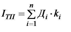
Сопоставлением технических параметров определяют так называемый индекс технических параметров (IТП):
,
где n – число параметров, выбранных для оценки; Дi – коэффициент значимости (весомости) параметра (от 0 до 1); ki – относительный показатель качества товара, определяемый путем деления числового значения показателя качества оцениваемой продукции на аналогичный показатель конкурирующего товара.
Чем выше IТП, тем в большей степени параметры оцениваемой продукции превосходят параметры товара конкурентов.
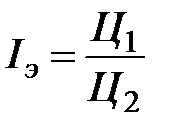
Индекс экономических параметров, например, индекс цен IЭ определяют сопоставлением цен потребления оцениваемого (Ц1) и конкурирующего товара (Ц2):
.
Чем выше индекс, тем в меньшей степени оцениваемый товар отвечает запросам покупателя.
Цена потребления складывается из оптовой цены реализации продукции, затрат на транспортировку, таможенных пошлин и всех затрат покупателя в течение срока эксплуатации товара (например, расходы по устранению брака). Отдельные из эксплуатационных затрат покупателя могут не учитываться в расчете, если они одинаковы для продукции всех поставщиков.
|
|
|
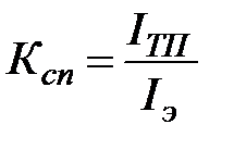
Соотношение индекса технических параметров и индекса экономических параметров характеризует уровень конкурентоспособности продукции (Ксп). Если Ксп >1, товар конкурентоспособен.
.






