1. Определяется тепловой поток Q по известной формуле

где электрическое сопротивление рабочего участка Rэ = 0,0344 Ом;
U – измеренное напряжение; [ Q ] = 1 Вт.
2. Подсчитывается массовый расход воздуха G, [ G ] = 1 кг/с

где DH - динамический напор, измеряемый трубкой Пито, [
H ] = 1 Па.
- плотность воздуха на выходе;
В – барометрическое давление, в паскалях (1 мм рт.ст. =133 Па);
R - измеренное падение давления на рабочем участке в паскалях;
R = 287 Дж/ (кг К) – газовая постоянная воздуха;
m = 0,63 – коэффициент, полученный тарировкой;
d = 8,5
м - внутренний диаметр трубки.
3. Определяется средняя температура воздуха

4. Рассчитывается средняя плотность воздуха

5. Определяется число Рейнольдса и средняя скорость W на участке нагрева

где
- кинематическая вязкость при температуре tж (см. приложение)
6. Вычисляются значения температурного напора
tі в сечениях трубки с координатами Хі (табл.2):

7. Определяются локальные значения коэффициента теплоотдачи
, [
]= 1 Вт/(
К)

где Qn – потери тепла с наружной поверхности трубки:
|
|
|

К = 0,18 – коэффициент, определенный опытным путем,
- средняя температура стенки,
l = 0,72 м – длина обогреваемого участка трубы.
По полученным значениям aі строится график
=¦(C) и определяется коэффициент теплоотдачи aоси на основном участке.
8. Определяются среднее значение
и критерий Нуссельта по опытным данным Nuж:

Крайние значения
и
исключаются ввиду влияния утечек тепла с торцов рабочего участка. Значения Lі приведены в табл.2.

Теплопроводность воздуха
приведена в приложении.
9. Определяются расчетные значения Nuж по критериальным зависимостям (17) или (18).
10. По данным опыта рассчитывается коэффициент гидравлического сопротивления

где
– падение давления за счет трения
Rу – потеря давления на ускорение потока.
11. Полученное значение коэффициента гидравлического сопротивления сопоставляется с расчетным по формуле Блазиуса:

12. Рассчитывается критерий Нуссельта по формуле, полученной на основе гидродинамической теории теплообмена:

Рассчитанные величины
и
сопоставляются с полученным в эксперименте Nuж.
Результаты расчетов записываются в протокол (табл.4).
Таблица 4
Результаты обработки данных.
| № режима | Q | | G | | | t1 | t2 | t3 | ||
| Вт | Кг/м³ | Кг/с | ºС | Кг/ | | | | |||
| ºС/(Вт/(м²·К)) | ||||||||||
| № режима | t4 | t5 | t6 | t7 | t8 | t9 | t10 | tст | ||
| | | | | | | ||||
| ºС/(Вт/(м²·К)) | | |||||||||
| № режима | | | | | | | ||||
| Вт/(м²·К) | - | - | - | - | - | |||||
Лабораторная работа
«Определение теплопроводности твердых материалов методом пластины при имитационном моделировании процесса теплообмена».
|
|
|
Цель работы - определить теплопроводность фторопласта методом плоского слоя в зависимости от температуры, определить влияние на температурное поле внутренних источников теплоты и термических контактных сопротивлений.
Теоретическая часть.
Теплота вследствие теплопроводности передается между непосредственно соприкасающимися частями тела при микродвижении элементарных частиц.
Количество теплоты, передаваемое в результате теплообмена, обозначается буквой Q и измеряется в джоулях. Количество теплоты, проходящее через какую-то поверхность в единицу времени, называется тепловым потоком и обозначается также Q, но измеряется в ваттах. Тепловой поток, приходящийся на единицу площади поверхности, называется плотностью теплового потока, обозначается q и имеет единицу величины
.
Исследование теплопроводности может быть сведено к изучению пространственно-временных изменений величин, характеризующих теплообмен. Совокупность значений температур во всех точках какого-то тела в данный момент времени t называется температурным полем этого тела. Температурное поле в декартовой системе координат задается уравнением вида
(1)
Совокупность точек тела, имеющих одинаковую температуру, составит изотермическую поверхность. Предел отношения изменения температуры
к расстоянию
по нормали между соответствующими изотермическими поверхностями при
называется температурным градиентом:
(2)
Количественная оценка теплоты, проходящей внутри тела вследствие теплопроводности, базируется на основном законе теплопроводности Фурье:
или
(3)
здесь величина l называется теплопроводностью.
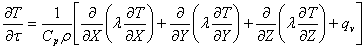
Для решения задач теплопроводности обязательным является знание поля температур, то есть пространственно-временного распределения температуры в интересующей нас области. Такое распределение подчиняется основному дифференциальному уравнению теплопроводности Фурье-Кирхгофа, в основу вывода которого положен закон Фурье. Для нестационарного теплового режима в случае твердого тела с изотропными и однородными свойствами, при постоянной теплопроводности (l(T)=const) и при внутренних источниках теплоты уравнение Фурье-Кирхгофа для декартовой системы координат имеет вид
(4)
где Т – температура, [ T ] =1 К;
- время, [
] = 1 с;
- коэффициент температуропроводности:
, [
] = 1
;
- теплопроводность, [
] = 1 Вт/(м К); Ср – удельная теплоемкость, [ Ср ] = 1 Дж/(кг К);
- плотность, [
] = 1
; qv – объемное тепловыделение, [ qv ] = 1
.
В практических случаях теплопроводность зависит от температуры и уравнение (4) имеет вид
(5)
Для решения конкретных задач дифференциальное уравнение теплопроводности используется при задании условий однозначности. Условиями однозначности называют те дополнительные частные данные, которые характеризуют рассматриваемую задачу. Они должны включать в себя: геометрические условия, характеризующие форму и размеры тела; физические условия, характеризующие физические свойства тела, а, возможно, и среды; временные (начальные) условия, связанные с распределением температур в теле в начальный момент времени; граничные условия, характеризующие особенности протекания процессов теплообмена на границах тела.
Применим дифференциальное уравнение теплопроводности в сочетании с условиями однозначности к задаче об одномерном температурном поле. Примером может быть плоская стенка.
Плоской называют стенку, толщина которой
значительно меньше двух других характерных размеров (ширины и длины). В этом случае можно пренебречь отводом теплоты через торцы стенки, считая, что тепловой поток направлен перпендикулярно большей поверхности пластины вдоль оси Х (рис.1) Таким образом, геометрическими условиями однозначности заданы форма и размеры стенки. Физические условия однозначности заключаются в том, что известен материал стенки и, следовательно, известно значение теплопроводности
. Если считать, что материал стенки обладает изотропными и однородными свойствами, то
.
|
|
|

Рис. 1 Распределение температур в плоской стенке.
В данной лабораторной работе временные условия однозначности определены стационарным тепловым режимом, следовательно,
(6)
Рассмотрим три рода граничных условий. При граничных условиях первого рода задано распределение температур на поверхности тела. В этом случае требуется определить величину плотности теплового потока. При граничных условиях второго рода известны величина плотности теплового потока и температура одной из поверхностей. В этом случае требуется определить неизвестную температуру другой поверхности стенки. При граничных условиях третьего рода определяется величина плотности теплового потока, когда известны температуры сред, омывающих с разных сторон стенку, и коэффициенты теплоотдачи между поверхностями и средами. Этот случай относится к теплообмену, называемому теплопередачей.
В данной лабораторной работе в основном будут обеспечены граничные условия первого рода.
Для плоской стенки в стационарном режиме теплообмена температурное поле зависит только от одной координаты Х (рис.1) и задача в этом случае является пространственно одномерной, поскольку
(7)
Дифференциальное уравнение теплопроводности при отсутствии объемного тепловыделения и при условии постоянства теплопроводности от температуры имеет вид
(8)
Закон распределения температур по толщине стенки при условии, что
nри X=0 T= Tст1;
при Х=
Т= Тст2,
найдется после двойного интегрирования уравнения (8):
(9)
Величина плотности теплового потока может быть определена по выражению
[ q ] = 1
(10)
Отношение
носит название тепловой проводимости стенки, а обратная ей величина
=R называется термическим сопротивлением стенки.
При необходимости определения значения теплопроводности по измеренным величинам можно использовать выражение
|
|
|
(11)
В этом случае полученное значение теплопроводности следует отнести к средней температуре 
Значение теплопроводности материала определяется экспериментально и преимущественно стационарным методом. Несмотря на свою методическую простоту, практическое осуществление сталкивается с трудностями создания одномерного температурного поля в исследуемых образцах и учете тепловых потерь. Стационарные методы связаны со значительным временем выхода установки на стационарный тепловой режим. Имитационные установки позволяют избежать этих трудностей.
При исследовании теплопроводности материалов, обладающих низкой теплопроводностью (
< 2,3 Вт/(м К)), широкое распространение получил метод неограниченного плоского слоя, когда образцу исследуемого материала придается форма тонкой круглой или квадратной пластины. При выборе геометрических размеров исследуемых образцов с низкой теплопроводностью необходимо выполнять условие:
(1/7… 1/10) D, где D – диаметр круглой пластины (или сторона квадрата), обеспечивающий одномерность температурного поля. Для устранения тепловых потерь с боковых поверхностей образца используют тепловую изоляцию или охранные электрические нагреватели. Описанный метод плоского слоя и принят в данной работе.






