Различают три вида инфляции:
1. умеренная, или ползучая, инфляция, при которой цены растут медленно (от 3% до 10 % в год), стоимость денег сохраняется.
2. галопирующая, или открытая, инфляция с ростом цен от 10% до 200% в год.
3. гиперинфляция, при которой количество денег в обращении и цены растут астрономическими темпами (рост цен свыше 200% в год)
Нарастание инфляции от умеренной к галопирующей не является неизбежным. Гиперинфляция – это достаточно редкое явление, галопирующая инфляция бывает и в промышленно развитых странах. Однако определяющей экономической тенденцией выступает умеренная инфляция.
Как вести себя с инфляцией предпринимателю?
Характер мер определяется тем, какой вид инфляции преобладает в экономике. Наличие умеренной инфляции достаточно учитывать в тактическом и стратегическом планировании фирмы. Стабильность производства сохраняется при небольшом росте цен, который даже подстегивает к расширению производства и увеличению объема продаж. При галопирующей и гиперинфляции фирмам необходимо ускорять оборот средств, не позволять средствам замораживаться в условиях «долгостроя» или на счете в банке, пользоваться кредитными ресурсами, но только под надежные контракты или работы.
|
|
|
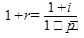
Как рассчитать реальную процентную ставку?
Номинальная общая сумма выплат по кредиту (S) cоставит за год:
Sгод = P + P i = P (1 + i).
Реальная общая сумма выплат по кредиту (S./) cоставит за год:
S/год = P + P r = P (1 + r).
Реальная сумма выплат означает, что то количество товаров, которое в момент выплаты можно купить на сумму S, год назад можно было купить за сумму S/. Это соотношение можно выразить формулой:
где
- годовой прирост цен в процентах.
Данные формулы могут быть преобразованы следующим образом
Номинальная Реальная
сумма выплат сумма выплат
S = P (1 + i) S/год = P (1 + r)
S = S/(1+
) 1 + i =

![]() | |||
![]() | |||
1+i= 
![]() |
1+i
=(1+r)(1+
)

![]() |
|
|
Номинальная процентная Реальная процентная ставка
ставка

- В чем состоит принципиальная разница между простым и сложным процентами?
- Какой тип наращения предпочтителен при хранении денег в банке?
- Вы располагаете данными о сумме, которую можно получить через пять лет, и хотите продать этот контракт немедленно. Какими расчетными формулами целесообразно воспользоваться и почему?
- Какое начисление процентов – более или менее частое – и при каких условиях, более выгодно?
- В чем смысл эффективной годовой процентной ставки?
- Что такое финансовые таблицы и как ими пользоваться?
- Что такое реальный процент и зачем его рассчитывать?
Раздел 2
![]() |



-1







