1.Рассмотрим движение неизменяемой механической системы, состоящей из весомых тел 2, 3, 5 и невесомых тел 1 и 4, соединенных нитями. Изобразим действующие на систему внешние силы: активные F, Fупр, Р2, Р3, Р5, Fтр2, момент сопротивления М, натяжение нити S5 и реакции связей N2 , N3, N4 .
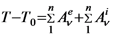
2. Для определения vc5 воспользуемся теоремой об изменении кинетической энергии:
, где
– соответственно, сумма работ внешних и внутренних сил системы.
Для рассматриваемой системы, состоящей из абсолютно твердых тел, соединенных нерастяжимыми нитями, работа внутренних сил равна нулю.
В начальном положении все элементы механизма находились в покое, скорости всех тел были равны нулю, поэтому Т0=0.
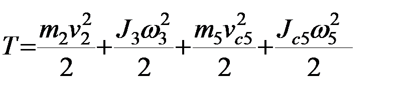
3. Кинетическая энергия системы равна сумме энергий всех тел системы:
Т= Т2+ Т3+ Т5.
4. Выполним кинематический анализ:
- тело 2 движется поступательно;
- тело 3 вращается вокруг неподвижной оси;
- тело 5 участвует в плоскопараллельном движении.
Исходя из этого, кинетическая энергия системы может быть представлена выражением:
|
|
|
.
5. Кинетическая энергия Т, которую получила система после того, как груз переместился вдоль наклонной плоскости на расстояние s1, зависит от искомой скорости vc5. Поэтому все скорости, входящие в выражение кинетической энергии данной механической системы, выразим через скорость vc5.
6. Поскольку грузы 1 и 2 связаны нерастяжимой нитью, то их скорости равны. В свою очередь эта нерастяжимая нить перекинута через малый обод шкива 3, следовательно: v1= v2= vА, где vА – любая точка обода радиуса r3 шкива 3.
7. Линейные скорости шкива 2 и блока 5 зависят от одной угловой скорости ω3: v2= ω3r3, v5= ω3R3.
8. Поскольку точка К5 является мгновенным центром скоростей для блока 5 (он как бы «катится» по участку нити К5L), то v5=2vc5. Тогда:

9. Осевые моменты инерции подвижного блока 5 и ступенчатого шкива 3 определяется выражениями:

10. Выполнив подстановку всех приведенных выше значений в выражение кинетической энергии для заданной механической системы, получим:
.
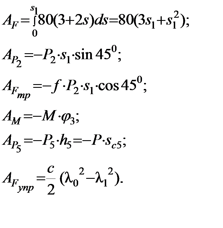
11. Находим работу всех действующих внешних сил при перемещении, которое будет иметь система, когда груз 1 пройдет путь s1=0,2 м. Введем следующие обозначения: s2 – перемещение груза 2 (s2=s1); φ3 – угол поворота шкива 3; h5 – перемещение центра масс блока 5; λ0, λ1 –начальное и конечное удлинение пружины.
Сумма работ всех внешних сил равна:
, где

Работы остальных сил равны нулю:
- точка К5 – мгновенный центр скоростей, поэтому работа силы натяжения
- нити S5 равна нулю;
- реакция опоры N2 перпендикулярна перемещению груза 2, а поэтому работы не совершает;
- реакции N3, N4, приложенные в неподвижных точках, не совершают работы.
По условию задачи λ0=0, тогда λ1 = sc5 – перемещение конца пружины. Выразим величины sc5 и φ3 через заданное перемещение s1. Зависимость между перемещениями такая же, как между соответствующими им скоростями:
|
|
|

12. Поскольку v5=v3=ω3R3 и vc5=0,5v5, то vc5=0,5ω3R3. Следовательно, λ1 = sc5=0,5φ3R3=0,5(s1R3)/r3.
13. При найденных значениях φ3 и λ1 получим выражение для подсчета суммы работ всех внешних сил, действующих на механическую систему:

14. Кинетическую энергию приравниваем к работе:
=
= 
Подставив в полученное выражение известные численные значения заданных величин, найдем искомую скорость vc5.
Ответ: vc5 = 2,10 (м/c).






