1. Рассмотрим движение груза на участке АВ, считая груз материальной точкой. Изобразим в произвольном положении груз и действующие на него силы:
,
,
,
. Проведем ось AZ и составим дифференциальное уравнение движения груза в проекциях на эту ось:
или 
или
.
2. Введем обозначение:
, откуда при заданных известных значениях получим а=12 м/с при g=10 м/с2.
3. Разделив в уравнении переменные и взяв интегралы от обеих частей равенства, получим:
.
4. При известных начальных условиях: t=0, v0= 22 м/c получаем С1= -ln(a-22). Тогда уравнение примет вид:

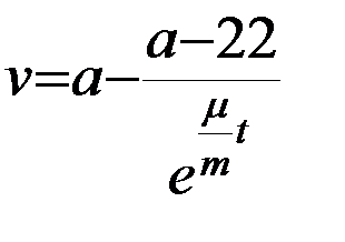
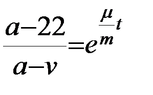
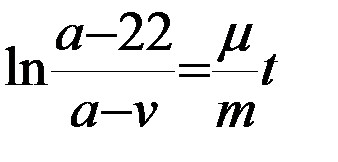
5. После преобразования получим:
или
.
6. Из п. 5 находим:

Полагая, что t=3 c, и заменив а, μ, m известными численными значениями, определяем скорость груза в точке В: vB= 18,1 м/c.
7. Рассмотрим движение груза на участке ВС. Найденная скорость vB будет для движения груза на этом участке являться начальной скоростью (v0 = vB). Изобразим в произвольном положении груз и действующие на него силы:
,
,
,
.
8. Проведем из точки В оси BX и BY и составим дифференциальное уравнение движения груза в проекции на ось BX:
|
|
|
,
где Fтр=fN.
9. Для определения N составим уравнение в проекции на ось BY. Так как в направлении BY нет движения, то
, поэтому 0=N-mg, откуда N=mg. Следовательно, Fтр=fmg. Учитывая, что F=4sin(2t), уравнение примет вид: 
Разделив обе части равенства на m, получим:
или 
где 4/m=1,33; fg =2 м/c2 при f=0,2.
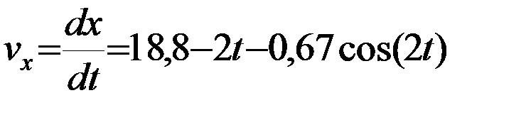
10. Умножив обе части уравнения на dt и проинтегрировав его, найдем
.
11. При известных начальных условиях: t=0, v0 = vB = 18,1 м/c - получим С2=18,1 + 1,33/2=18,8.
12. Уравнение при найденной С2 примет вид:
.
13. Умножая обе части на dt и снова интегрируя, получим:
.
14. При t=0, x=0 С3=0, тогда закон движения груза окончательно будет представлен выражением:
.
Ответ: 
5.3.3. Задание Д -2. Применение теоремы об изменении кинетической энергии к изучению движения механической системы
Дано. Механическая система состоит из катков 1 и 2 (или катка и подвижного блока), ступенчатого шкива 3 с радиусами ступеней R3= 0,3 м, r3 = 0,1 м и радиусом инерции относительно оси вращения ρ3 = 0,2 м, блока 4 радиуса R4= 0,2 м и грузов 5 и 6 (рис. Д 2.0 – Д 2.9, табл. Д-2); тела 1 и 2 считать сплошными однородными цилиндрами, а массу блока 4 – равномерно распределенной по ободу. Коэффициент трения грузов о плоскость f=0,1. Тела системы соединены друг с другом нитями, перекинутыми через блоки и намотанными на шкив 3 (или на шкив и каток); участки нитей параллельны соответствующим плоскостям. К одному из тел прикреплена пружина с коэффициентом жесткости с.
Под действием силы F=f(s), зависящей от перемещения s точки ее приложения, система приходит в движение из состояния покоя; деформация пружины в момент начала движения равна нулю. При движении на шкив 3 действует постоянный момент М сил сопротивления (от трения в подшипниках).
|
|
|
Все катки катятся по плоскостям без скольжения.
Если по заданию массы грузов 5 и 6 или массы катков 1 (рис. Д 2.0-2.4) и 2 (рис. Д 2.5-2.9) равны нулю, то на чертеже их можно не изображать.
Определить: значение искомой величины в тот момент времени, когда перемещение s станет равным s1= 0,2 м. Искомая величина указана в столбце «Найти» таблицы Д 2, где обозначено: ω3 – угловая скорость тела 3; ε4 – угловое ускорение тела 4; v5 – скорость тела 5; ас2- ускорение центра масс тела 2 и т.п.
Указания. При решении задачи учесть, что кинетическая энергия системы равна сумме кинетических энергий всех входящих в систему тел; эту энергию следует выразить через ту скорость (линейную или угловую), которую в задаче надо определить. При вычислении энергии для установления зависимости между скоростями точек тела, движущегося плоскопараллельно, или между его угловой скоростью и скоростью центра масс воспользоваться мгновенным центром скоростей. При вычислении работы необходимо все перемещения выразить через заданное перемещение s1, учитывая при этом, что зависимость между перемещениями здесь будет такой же, как между соответствующими скоростями.
5.3.4. Пример решения задания Д -2
Механическая система состоит из грузов 1 и 2, ступенчатого шкива 3 с радиусами ступеней R3 и r3, радиусом инерции ρ3 относительно оси вращения, блока 4 радиуса R4 и подвижного блока 5 (коэффициент трения грузов о плоскость равен f).Тела системы соединены нитями, намотанными на шкив 3.
К центру блока 5 прикреплена пружина с коэффициентом жесткости с; ее начальная деформация равна нулю.
Система приходит в движение из состояния покоя под действием силы F=f(s), зависящей от перемещения s точки ее приложения. На шкив 3 при движении действует постоянный момент М сил сопротивления.
Таблица Д-2
| Номер условия | m1, кг | m2, кг | m 3, кг | m 4, кг | m 5, кг | m 6, кг | c, Н/м | М, Нм | F=f(s), H | Найти |
| 1,2 | 80(3+4s) | vc1 | ||||||||
| 0,6 | 20(6+5s) | a6 | ||||||||
| 1,8 | 60(4+s) | ω4 | ||||||||
| 0,3 | 40(3+8s) | ε3 | ||||||||
| 1,5 | 50(5+2s) | v6 | ||||||||
| 0,9 | 30(4+3s) | ac1 | ||||||||
| 2,4 | 60(2+5s) | v5 | ||||||||
| 0,3 | 80(1+4s) | ε4 | ||||||||
| 1,2 | 20(8+3s) | ω3 | ||||||||
| 0,6 | 40(3+2s) | ac2 |
Дано: m1=0 кг, m2=5 кг, m3=6 кг, m4=0 кг, m5=4 кг, R3=0,3 м, r3= 0,1 м, ρ3=0,2 м, f=0,1, с=240 Н/м, М=0,6 Нм, F=80(3+2S)H, s1=0,2 м.
Определить: vc5 в тот момент, когда s= s1.