1. Если дифференцируемая функция y=f(x) возрастает на [ a, b ], то ее производная неотрицательна на этом отрезке, f '(x) ≥ 0.
2. Обратно. Если функция y=f(x) непрерывна на [ a, b ], дифференцируема на (a, b) и ее производная положительна на этом отрезке, f ' (x) ≥ 0 для a<x<b, то f(x) возрастает на[ a, b ].
Доказательство.
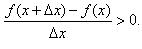
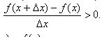
1. Докажем первую часть теоремы. Итак, пусть функция y=f(x) возрастает на [ a, b ]. Зафиксируем на этом отрезке произвольную точку x, придадим ей приращение Δ x. Тогда если Δ x >0, то x<x+ Δ x. Поэтому по определению возрастающей функции f(x)<f(x+ Δ x), то есть f(x+ Δ x) - f(x)> 0. Но тогда и
Аналогично, если Δ x< 0, то x>x+ Δ x и значит f(x+ Δ x)-f(x)< 0, а 
Переходя в этом равенстве к пределу при Δ x →0, получим
, то есть f '(x) ≥0.
2. Докажем вторую часть теоремы. Пусть f '(x)> 0при всех x Î (a,b). Рассмотрим два любых значения x 1 и x 2 таких, что x 1 < x 2. Нужно доказать, что f(x 1 )< f(x 2 ). По теореме Лагранжа существует такое число c
(x 1, x 2 ), что
. По условию f '(x)> 0, x 1 – x 2>0
, а это и значит, что f(x) – возрастающая функция.
3. Аналогичная теорема имеет место и для убывающих функций.
Теорема 2. Если f(x) убывает на[ a,b ], то на этом отрезке. Если на (a; b), то f(x) убывает на [ a, b ],в предположении, что f(x) непрерывна на [ a, b ].
Доказанная теорема выражает очевидный геометрический факт. Если на [ a, b ] функция возрастает, то касательная к кривой y=f(x) в каждой точке этого отрезке образует острый угол с осью Ox или горизонтальна, т.е. tg a≥0, а значит f '(x) ≥0.
Аналогично иллюстрируется и вторая часть теоремы.
Таким образом, возрастание и убывание функции характеризуется знаком ее производной. Чтобы найти на каком промежутке функция возрастает или убывает, нужно определить, где производная этой функции только положительна или только отрицательна, то есть решить неравенства f '(x) >0 – для возрастания или f '(x)< 0 – для убывания.
|

на этом отрезке. Если
на (a; b), то f(x) убывает на [ a, b ],в предположении, что f(x) непрерывна на [ a, b ].
Доказанная теорема выражает очевидный геометрический факт. Если на [ a, b ] функция возрастает, то касательная к кривой y=f(x) в каждой точке этого отрезке образует острый угол с осью Ox или горизонтальна, т.е. tg a≥0, а значит f '(x) ≥0.
Аналогично иллюстрируется и вторая часть теоремы.
Таким образом, возрастание и убывание функции характеризуется знаком ее производной. Чтобы найти на каком промежутке функция возрастает или убывает, нужно определить, где производная этой функции только положительна или только отрицательна, то есть решить неравенства f '(x) >0 – для возрастания или f '(x)< 0 – для убывания.






